Официальное опубликование правовых актов
ОФИЦИАЛЬНОЕ ОПУБЛИКОВАНИЕ
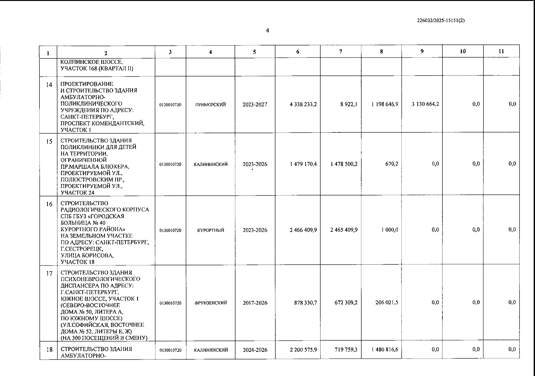
Постановление Правительства Санкт-Петербурга от 15.12.2025 № 1004
"О пообъектном распределении бюджетных ассигнований на осуществление капитальных вложений в существующие и создаваемые объекты капитального строительства государственной собственности Санкт-Петербурга и (или) приобретение за счет средств бюджета объектов недвижимого имущества в государственную собственность Санкт-Петербурга в соответствии с Адресной инвестиционной программой на 2026 год и на плановый период 2027 и 2028 годов"
Номер опубликования: 7800202512220017
Дата опубликования: 22.12.2025
Страница №5 из 98:
Увеличить