Официальное опубликование правовых актов
ОФИЦИАЛЬНОЕ ОПУБЛИКОВАНИЕ
Постановление Правительства Санкт-Петербурга от 14.01.2026 № 1
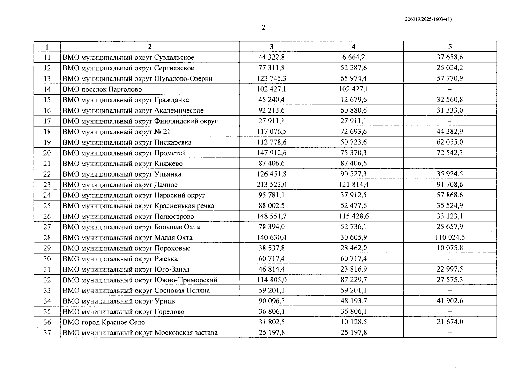
"О распределении субсидий бюджетам внутригородских муниципальных образований города федерального значения Санкт-Петербурга на организацию благоустройства территории внутригородского муниципального образования города федерального значения Санкт-Петербурга и на осуществление работ в сфере озеленения на территории внутригородского муниципального образования города федерального значения Санкт-Петербурга в рамках реализации мероприятий муниципальных программ, направленных на достижение целей государственной программы Санкт-Петербурга "Благоустройство и охрана окружающей среды в Санкт-Петербурге" по программе "Петербургские дворы", на 2026"
Номер опубликования: 7800202601220001
Дата опубликования: 22.01.2026
Страница №4 из 6:
Увеличить