Официальное опубликование правовых актов
ОФИЦИАЛЬНОЕ ОПУБЛИКОВАНИЕ
Постановление Правительства Санкт-Петербурга от 30.01.2026 № 29
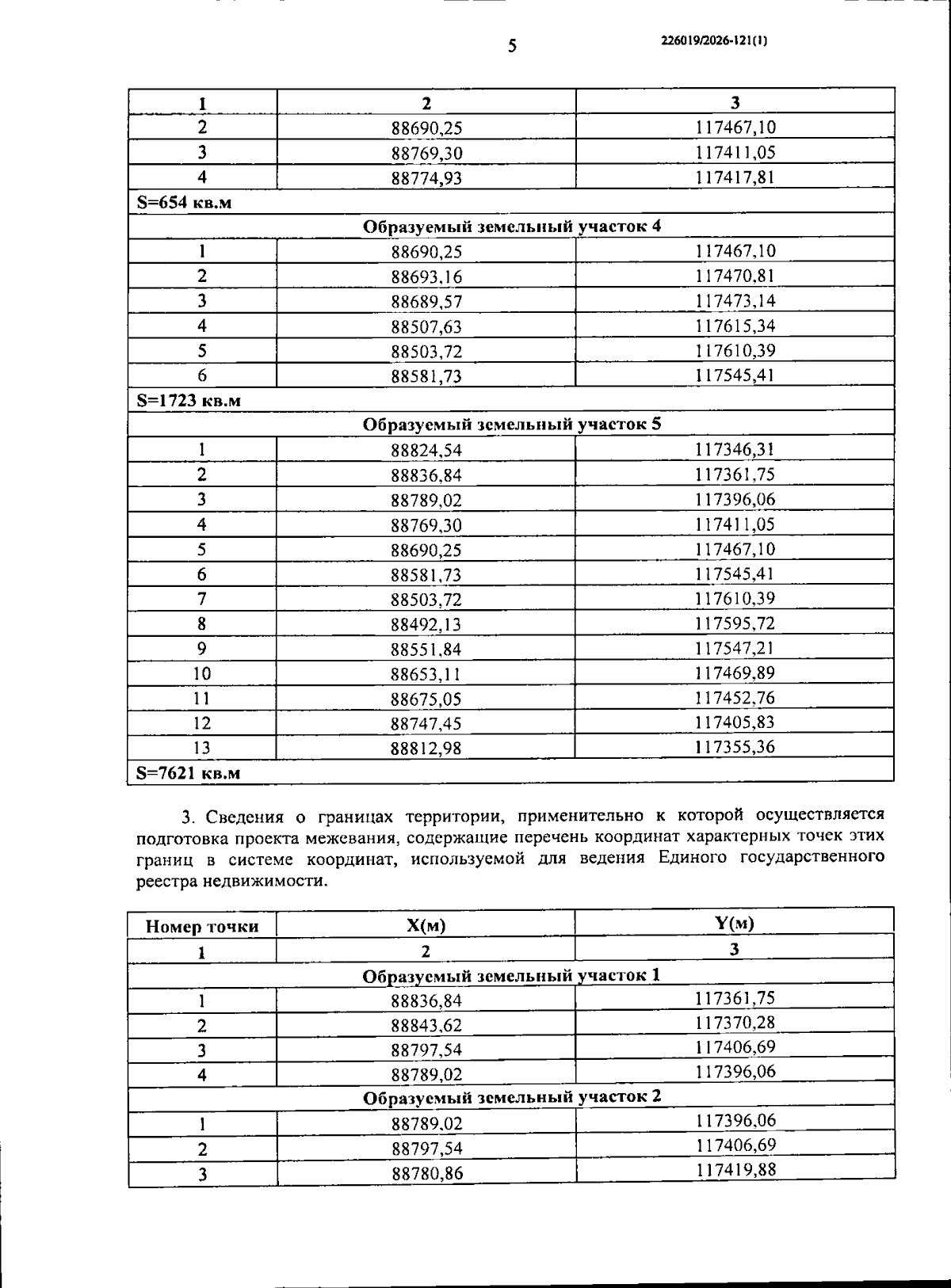
"Об утверждении проекта планировки с проектом межевания территории для размещения линейного объекта регионального значения "Улица от ул.Фучика до земельного участка с кадастровым номером 78:13:0007404:1005"
Номер опубликования: 7800202602050004
Дата опубликования: 05.02.2026
Страница №15 из 19:
Увеличить