Официальное опубликование правовых актов
ОФИЦИАЛЬНОЕ ОПУБЛИКОВАНИЕ
Постановление Правительства Санкт-Петербурга от 18.03.2026 № 157
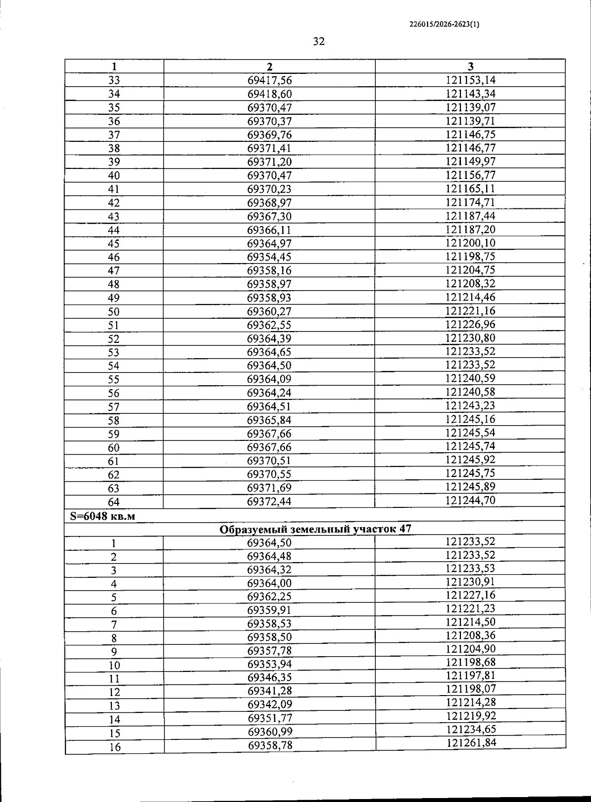
"Об утверждении проекта планировки с проектом межевания территории для размещения линейного объекта регионального значения "Путепровод в створе Московского шоссе через железнодорожные пути Витебского направления с подходами"
Номер опубликования: 7800202603310001
Дата опубликования: 31.03.2026
Страница №67 из 93:
Увеличить