Официальное опубликование правовых актов
ОФИЦИАЛЬНОЕ ОПУБЛИКОВАНИЕ
Постановление Правительства Санкт-Петербурга от 31.03.2026 № 198
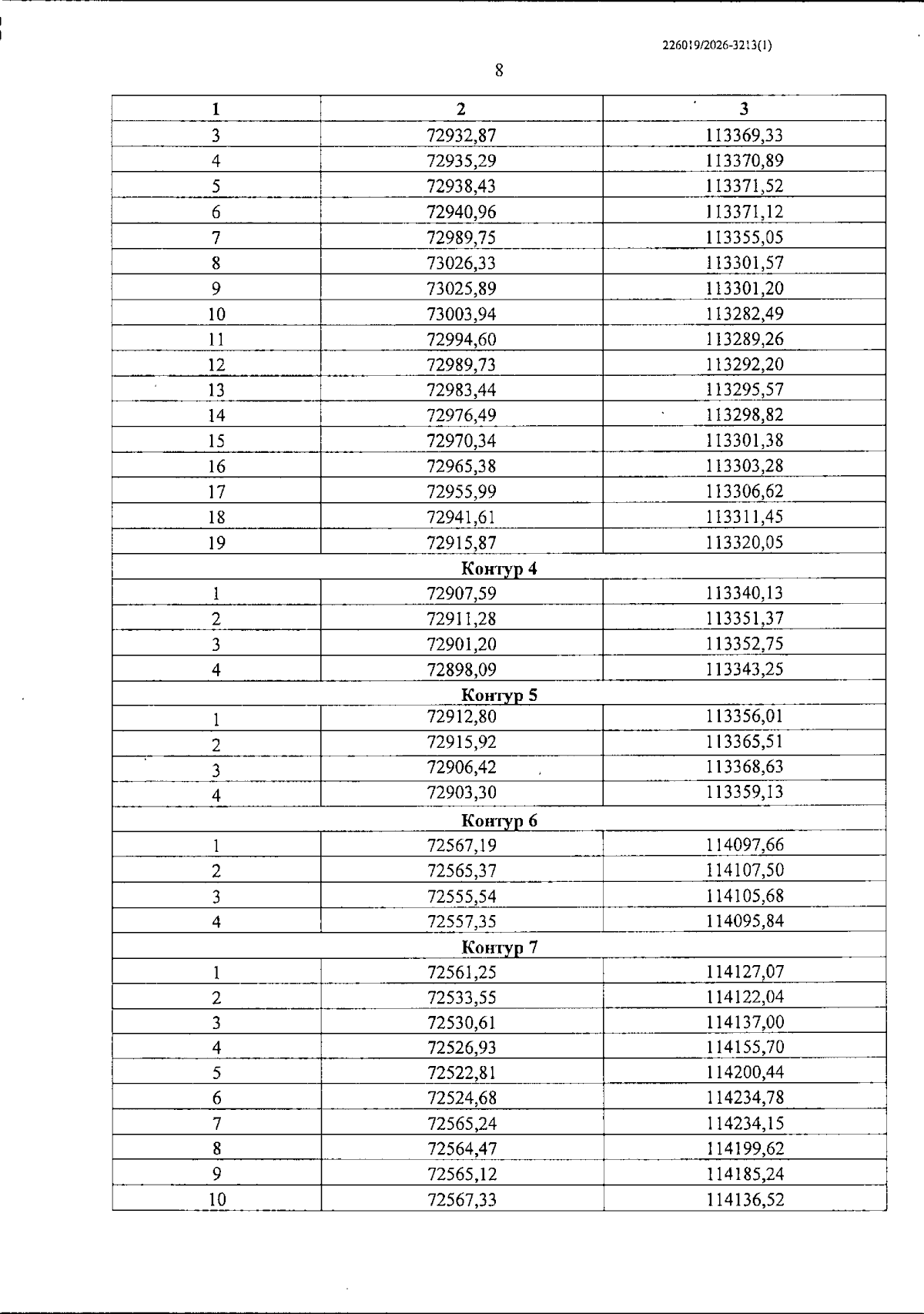
"Об утверждении проекта планировки с проектом межевания территории для размещения линейных объектов регионального значения "Транспортная развязка на пересечении Пулковского шоссе и Волхонского шоссе с подходами", " Киевское шоссе"
Номер опубликования: 7800202604060007
Дата опубликования: 06.04.2026
Страница №10 из 100:
Увеличить