Официальное опубликование правовых актов
ОФИЦИАЛЬНОЕ ОПУБЛИКОВАНИЕ
Постановление Правительства Санкт-Петербурга от 31.03.2026 № 197
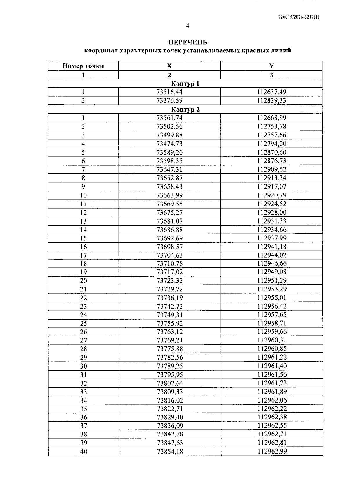
"Об утверждении проекта планировки с проектом межевания территории для размещения линейного объекта регионального значения "Магистраль №3 от магистрали №2 до Волхонского шоссе"
Номер опубликования: 7800202604060008
Дата опубликования: 06.04.2026
Страница №6 из 42:
Увеличить