Официальное опубликование правовых актов
ОФИЦИАЛЬНОЕ ОПУБЛИКОВАНИЕ
Постановление Правительства Санкт-Петербурга от 31.03.2026 № 201
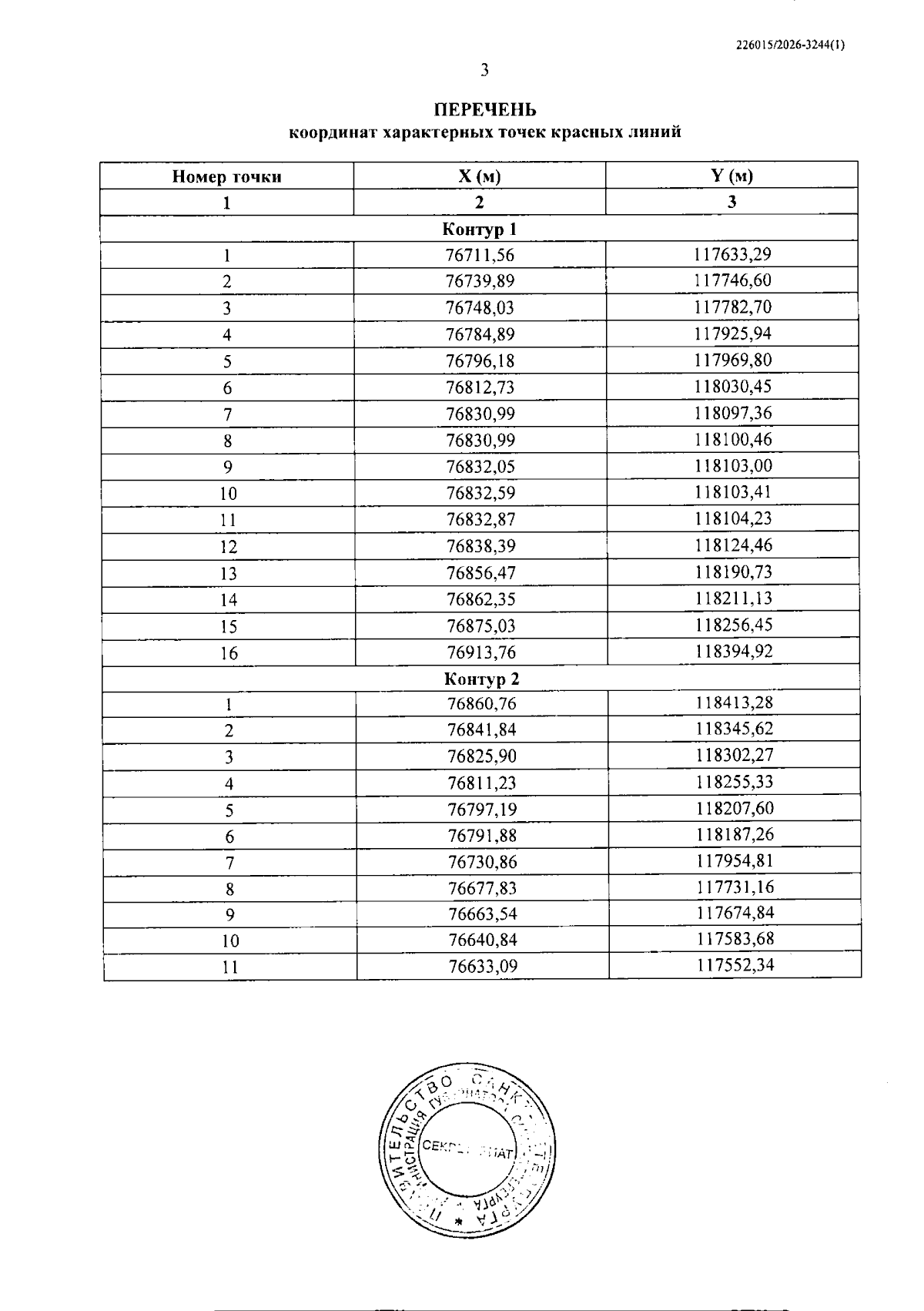
"Об утверждении проекта планировки с проектом межевания территории для размещения линейного объекта регионального значения "Шушарская дор. от Витебского пр. до Новгородского пр."
Номер опубликования: 7800202604060010
Дата опубликования: 06.04.2026
Страница №5 из 24:
Увеличить