Официальное опубликование правовых актов
ОФИЦИАЛЬНОЕ ОПУБЛИКОВАНИЕ
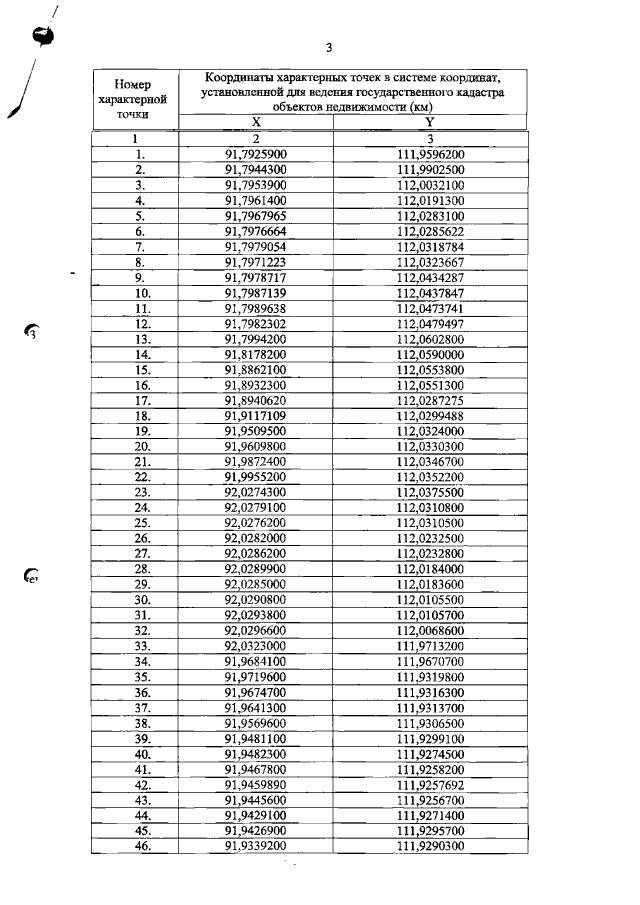
Распоряжение Комитета по государственному контролю, использованию и охране памятников истории и культуры Санкт-Петербурга от 31.05.2017 № 275-р
"Об утверждении границ и режима использования территории объекта культурного наследия регионального значения "Елизаветинская клиническая больница с территорией и садом"
Номер опубликования: 7801201706050023
Дата опубликования: 05.06.2017
Страница №5 из 7:
Увеличить