Официальное опубликование правовых актов
ОФИЦИАЛЬНОЕ ОПУБЛИКОВАНИЕ
Распоряжение Комитета по тарифам Санкт-Петербурга от 18.08.2017 № 80-р
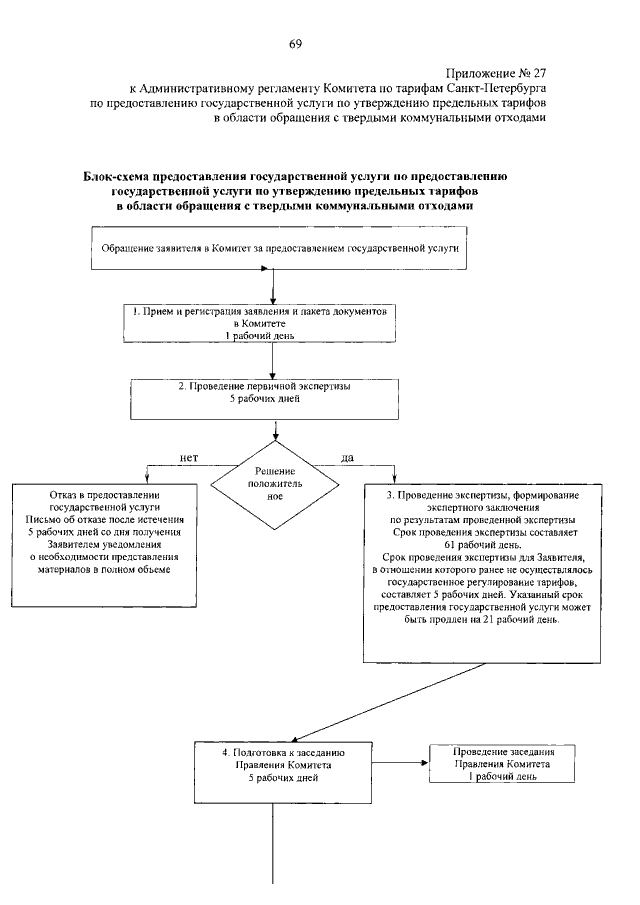
"Об утверждении Административного регламента Комитета по тарифам Санкт-Петербурга по предоставлению государственной услуги по утверждению предельных тарифов в области обращения с твердыми коммунальными отходами"
Номер опубликования: 7801201708240005
Дата опубликования: 24.08.2017
Страница №70 из 71:
Увеличить