Официальное опубликование правовых актов
ОФИЦИАЛЬНОЕ ОПУБЛИКОВАНИЕ
Распоряжение Комитета по природопользованию, охране окружающей среды и обеспечению экологической безопасности Санкт-Петербурга от 12.10.2017 № 277-р
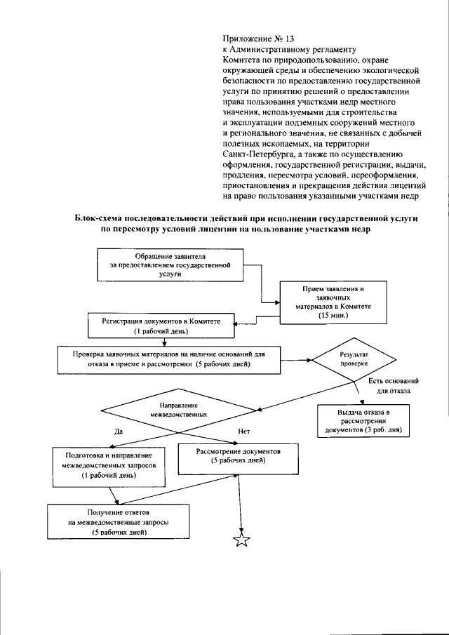
"Об утверждении Административного регламента Комитета по природопользованию, охране окружающей среды и обеспечению экологической безопасности по предоставлению государственной услуги по принятию решений о предоставлении права пользования участками недр местного значения, используемыми для строительства и эксплуатации подземных сооружений местного и регионального значения, не связанных с добычей полезных ископаемых, на территории Санкт-Петербурга, а также по осуществлению оформления, государственной регистрации, выдачи, продления, пересмотра условий, переоформления, приостановления и прекращения действия лицензий на право пользования указанными участками недр"
Номер опубликования: 7801201710180002
Дата опубликования: 18.10.2017
Страница №64 из 68:
Увеличить