Официальное опубликование правовых актов
ОФИЦИАЛЬНОЕ ОПУБЛИКОВАНИЕ
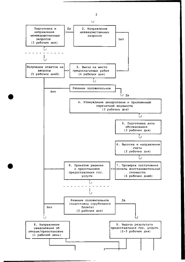
Распоряжение Комитета по благоустройству Санкт-Петербурга от 14.08.2018 № 196-р
"О внесении изменений в распоряжение Комитета по благоустройству Санкт-Петербурга от 25.01.2018 № 6-р"
Номер опубликования: 7801201808210005
Дата опубликования: 21.08.2018
Страница №4 из 5:
Увеличить