Распоряжение Комитета имущественных отношений Санкт-Петербурга от 25.10.2018 № 132-р
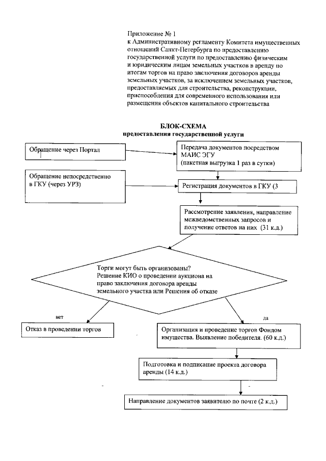
"Об утверждении Административного регламента Комитета имущественных отношений Санкт-Петербурга по предоставлению государственной услуги по предоставлению государственной услуги по предоставлению физическим и юридическим лицам земельных участков в аренду по итогам торгов на право заключения договоров аренды земельных участков, за исключением земельных участков, предоставляемых для строительства, реконструкции, приспособления для современного использования или размещения объектов капитального строительства"
"Об утверждении Административного регламента Комитета имущественных отношений Санкт-Петербурга по предоставлению государственной услуги по предоставлению государственной услуги по предоставлению физическим и юридическим лицам земельных участков в аренду по итогам торгов на право заключения договоров аренды земельных участков, за исключением земельных участков, предоставляемых для строительства, реконструкции, приспособления для современного использования или размещения объектов капитального строительства"
Номер опубликования: 7801201810310005
Дата опубликования:
31.10.2018
