Официальное опубликование правовых актов
ОФИЦИАЛЬНОЕ ОПУБЛИКОВАНИЕ
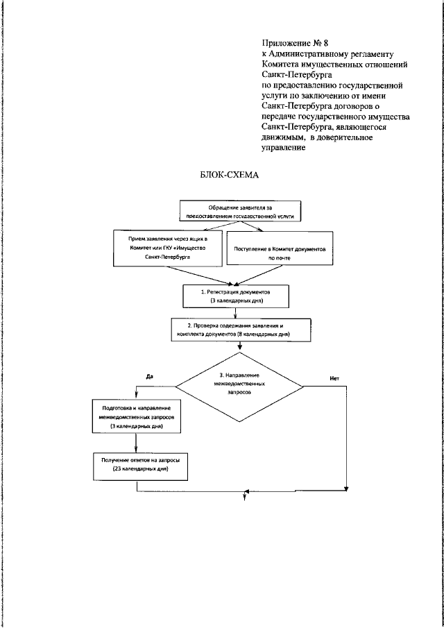
Распоряжение Комитета имущественных отношений Санкт-Петербурга от 15.01.2020 № 5-р
"Об утверждении Административного регламента Комитета имущественных отношений Санкт-Петербурга по предоставлению государственной услуги по заключению от имени Санкт-Петербурга договоров о передаче государственного имущества Санкт-Петербурга, являющегося движимым, в доверительное управление"
Номер опубликования: 7801202001170007
Дата опубликования: 17.01.2020
Страница №48 из 50:
Увеличить