Официальное опубликование правовых актов
ОФИЦИАЛЬНОЕ ОПУБЛИКОВАНИЕ
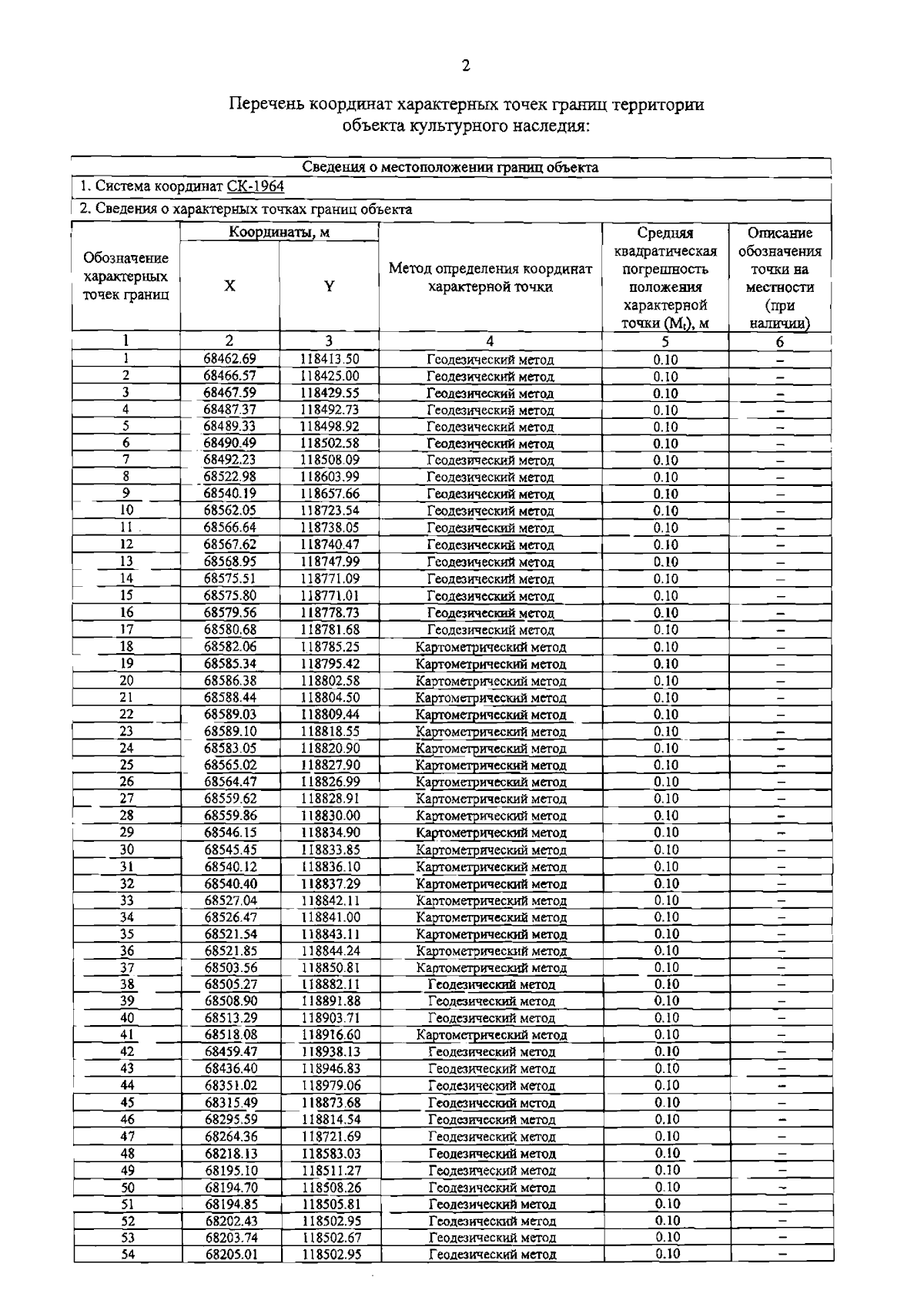
Распоряжение Комитета по государственному контролю, использованию и охране памятников истории и культуры Санкт-Петербурга от 10.07.2024 № 913-рп
"Об утверждении границ и режима использования территории объекта культурного наследия регионального значения "Ансамбль б. Лейб-гвардии стрелкового полка казарм (фасады)"
(Зарегистрирован 11.07.2024 № 48383)
Номер опубликования: 7801202407160012
Дата опубликования: 16.07.2024
Страница №4 из 6:
Увеличить