Официальное опубликование правовых актов
ОФИЦИАЛЬНОЕ ОПУБЛИКОВАНИЕ
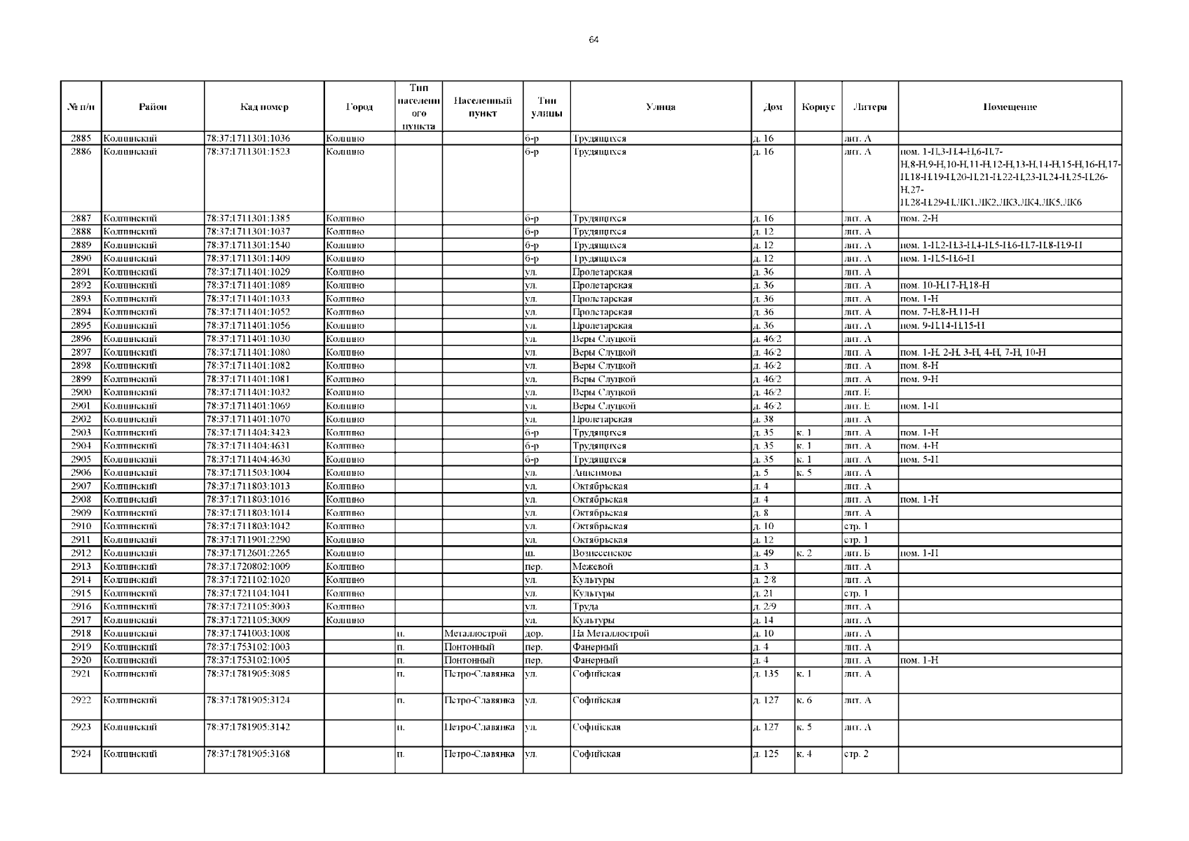
Приказ Комитета по контролю за имуществом Санкт-Петербурга от 26.12.2024 № 176-П
"Об определении Перечня объектов недвижимого имущества, в отношении которых налоговая база определяется как кадастровая стоимость, на 2025 год"
(Зарегистрирован 28.12.2024 № 49825)
Номер опубликования: 7801202501010006
Дата опубликования: 01.01.2025
Страница №65 из 200:
Увеличить