Официальное опубликование правовых актов
ОФИЦИАЛЬНОЕ ОПУБЛИКОВАНИЕ
Распоряжение Комитета по государственному контролю, использованию и охране памятников истории и культуры от 27.10.2025 № 290-рп
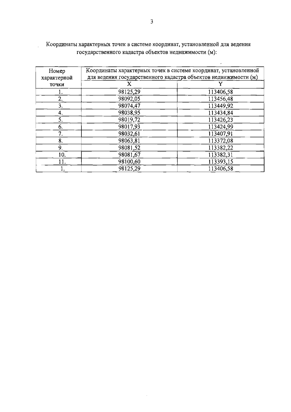
"О включении выявленного объекта культурного наследия в единый государственный реестр объектов культурного наследия (памятников истории и культуры) народов Российской Федерации в качестве объекта культурного наследия регионального значения "Дом Второго Санкт-Петербургского товарищества для устройства постоянных квартир с курдонером, палисадником и оградой", об утверждении границ и режима использования территории объекта культурного наследия, об утверждении предмета охраны объекта культурного наследия"
(Зарегистрирован 28.10.2025 № 51125)
Номер опубликования: 7801202510290024
Дата опубликования: 29.10.2025
Страница №6 из 43:
Увеличить