Распоряжение Комитета по государственному контролю, использованию и охране памятников истории и культуры от 05.11.2025 № 310-рп
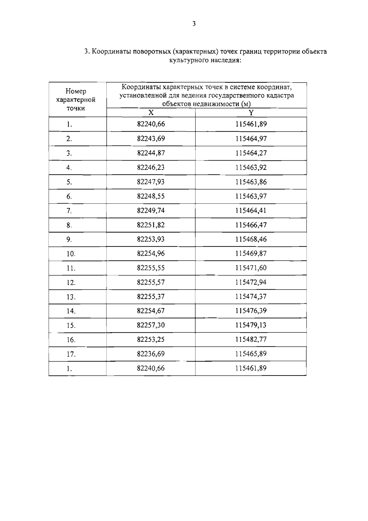
"О включении выявленного объекта культурного наследия в единый государственный реестр объектов культурного наследия (памятников истории и культуры) народов Российской Федерации в качестве объекта культурного наследия регионального значения "Памятник сотрудникам Ленмясокомбината им. С.М.Кирова, погибшим в годы Великой Отечественной войны (1941-1945 гг.) "Боец", об утверждении границ и режима использования территории объекта культурного наследия, об утверждении предмета охраны объекта культурного наследия"
(Зарегистрирован 06.11.2025 № 51180)
"О включении выявленного объекта культурного наследия в единый государственный реестр объектов культурного наследия (памятников истории и культуры) народов Российской Федерации в качестве объекта культурного наследия регионального значения "Памятник сотрудникам Ленмясокомбината им. С.М.Кирова, погибшим в годы Великой Отечественной войны (1941-1945 гг.) "Боец", об утверждении границ и режима использования территории объекта культурного наследия, об утверждении предмета охраны объекта культурного наследия"
(Зарегистрирован 06.11.2025 № 51180)
Номер опубликования: 7801202511070004
Дата опубликования:
07.11.2025
