Официальное опубликование правовых актов
ОФИЦИАЛЬНОЕ ОПУБЛИКОВАНИЕ
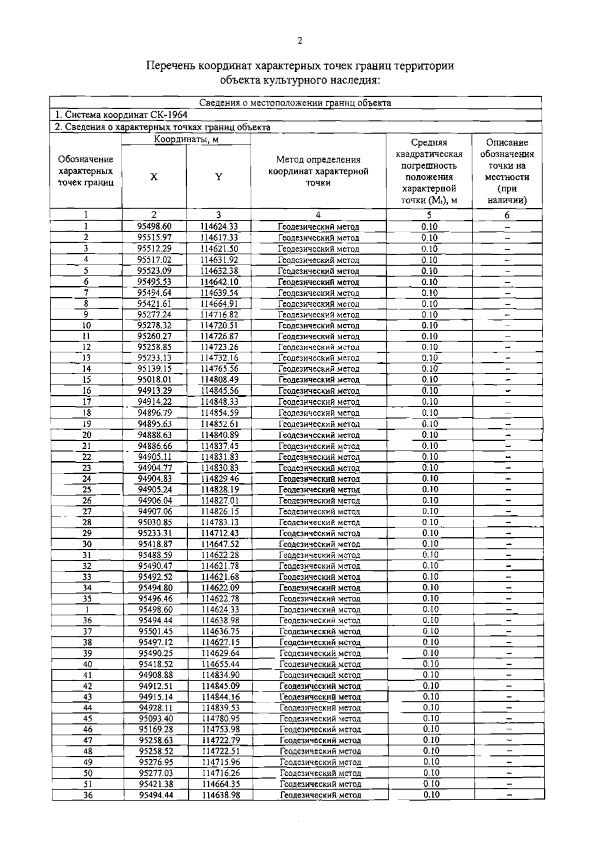
Распоряжение Комитета по государственному контролю, использованию и охране памятников истории и культуры от 02.12.2025 № 354-рп
"Об утверждении границ и режима использования территории объекта культурного наследия федерального значения "Набережные и мосты Лебяжьего канала"
(Зарегистрирован 03.12.2025 № 51335)
Номер опубликования: 7801202512050014
Дата опубликования: 05.12.2025
Страница №4 из 5:
Увеличить