Официальное опубликование правовых актов
ОФИЦИАЛЬНОЕ ОПУБЛИКОВАНИЕ
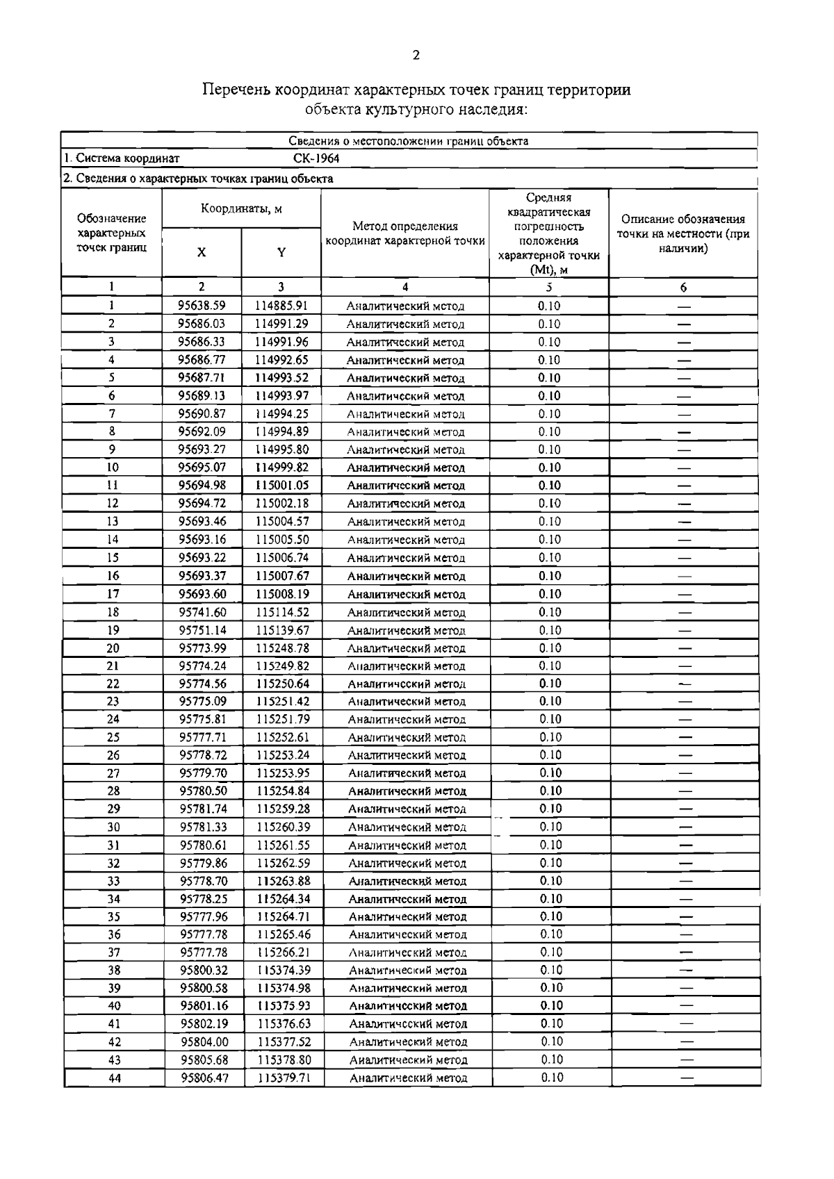
Распоряжение Комитета по государственному контролю, использованию и охране памятников истории и культуры от 02.12.2025 № 353-рп
"Об утверждении границ и режима использования территории объекта культурного наследия федерального значения "Набережная Французская (ныне Кутузова)"
(Зарегистрирован 02.12.2025 № 51334)
Номер опубликования: 7801202512050019
Дата опубликования: 05.12.2025
Страница №4 из 6:
Увеличить