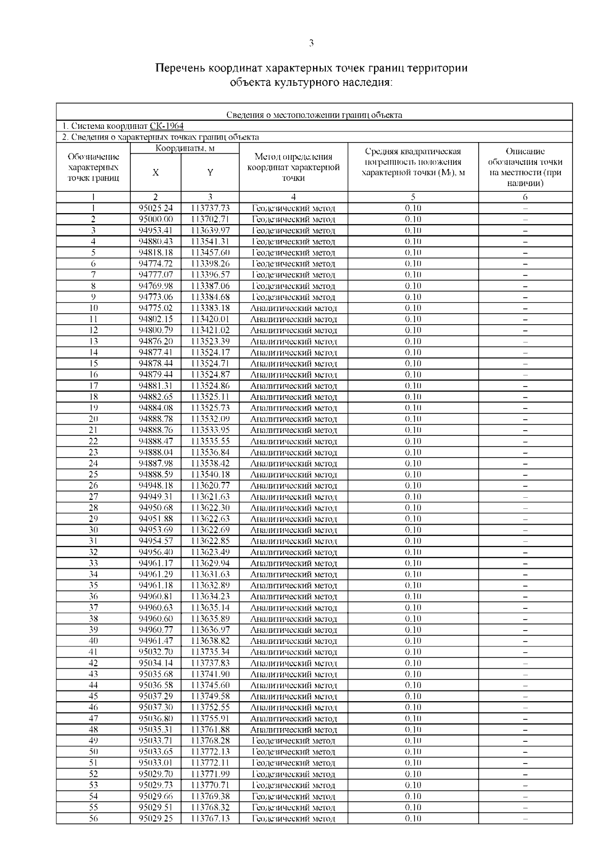
Распоряжение Комитета по государственному контролю, использованию и охране памятников истории и культуры от 02.12.2025 № 352-рп
"Об утверждении границ и режима использования территории объекта культурного наследия федерального значения "Набережная Дворцовая"
(Зарегистрирован 02.12.2025 № 51333)
"Об утверждении границ и режима использования территории объекта культурного наследия федерального значения "Набережная Дворцовая"
(Зарегистрирован 02.12.2025 № 51333)
Номер опубликования: 7801202512050020
Дата опубликования:
05.12.2025
