Распоряжение Комитета по государственному контролю, использованию и охране памятников истории и культуры от 30.12.2025 № 431-рп
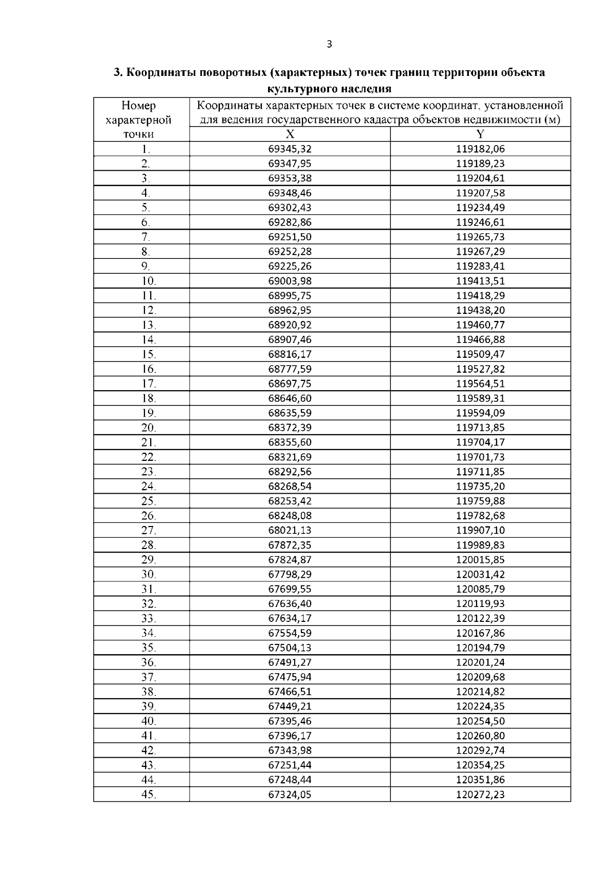
"О включении выявленного объекта культурного наследия в единый государственный реестр объектов культурного наследия (памятников истории и культуры) народов Российской Федерации в качестве объекта культурного наследия регионального значения "Историческая трасса Павловского шоссе с аллеями и гидротехническими сооружениями", об утверждении границ и режима использования территории объекта культурного наследия, об утверждении предмета охраны объекта культурного наследия"
(Зарегистрирован 30.12.2025 № 51661)
"О включении выявленного объекта культурного наследия в единый государственный реестр объектов культурного наследия (памятников истории и культуры) народов Российской Федерации в качестве объекта культурного наследия регионального значения "Историческая трасса Павловского шоссе с аллеями и гидротехническими сооружениями", об утверждении границ и режима использования территории объекта культурного наследия, об утверждении предмета охраны объекта культурного наследия"
(Зарегистрирован 30.12.2025 № 51661)
Номер опубликования: 7801202512300075
Дата опубликования:
30.12.2025
