Распоряжение Комитета по государственному контролю, использованию и охране памятников истории и культуры от 19.01.2026 № 10-рп
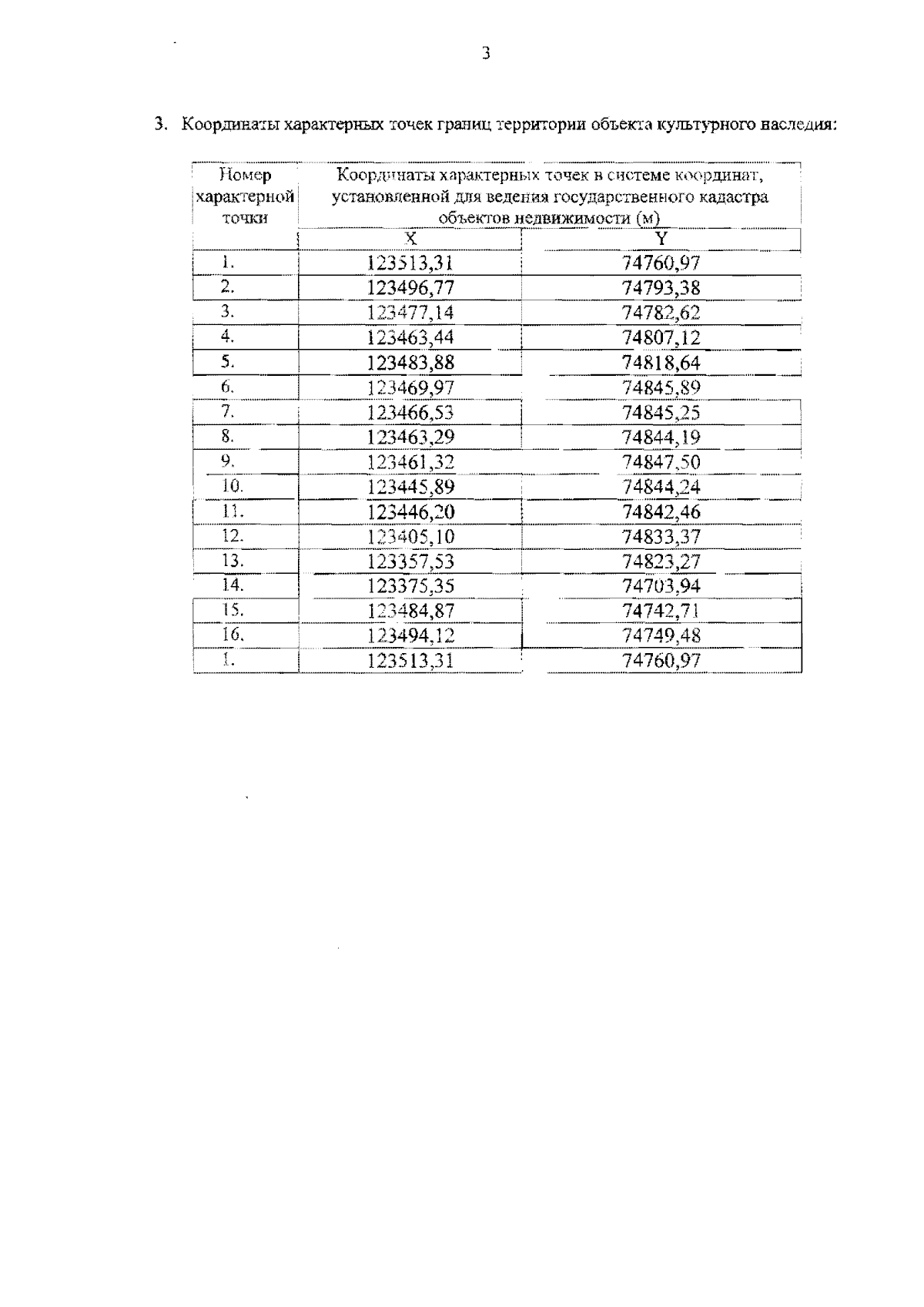
"О включении выявленного объекта культурного наследия в единый государственный реестр объектов культурного наследия (памятников истории и культуры) народов Российской Федерации в качестве объекта культурного наследия регионального значения "Дача Н.И.Данилевского с участком парка и служебной постройкой", об утверждении границ и режима использования территории объекта культурного наследия, об утверждении предмета охраны объекта культурного наследия"
(Зарегистрирован 21.01.2026 № 51754)
"О включении выявленного объекта культурного наследия в единый государственный реестр объектов культурного наследия (памятников истории и культуры) народов Российской Федерации в качестве объекта культурного наследия регионального значения "Дача Н.И.Данилевского с участком парка и служебной постройкой", об утверждении границ и режима использования территории объекта культурного наследия, об утверждении предмета охраны объекта культурного наследия"
(Зарегистрирован 21.01.2026 № 51754)
Номер опубликования: 7801202601260001
Дата опубликования:
26.01.2026
