Распоряжение Комитета по государственному контролю, использованию и охране памятников истории и культуры от 03.04.2026 № 66-рп
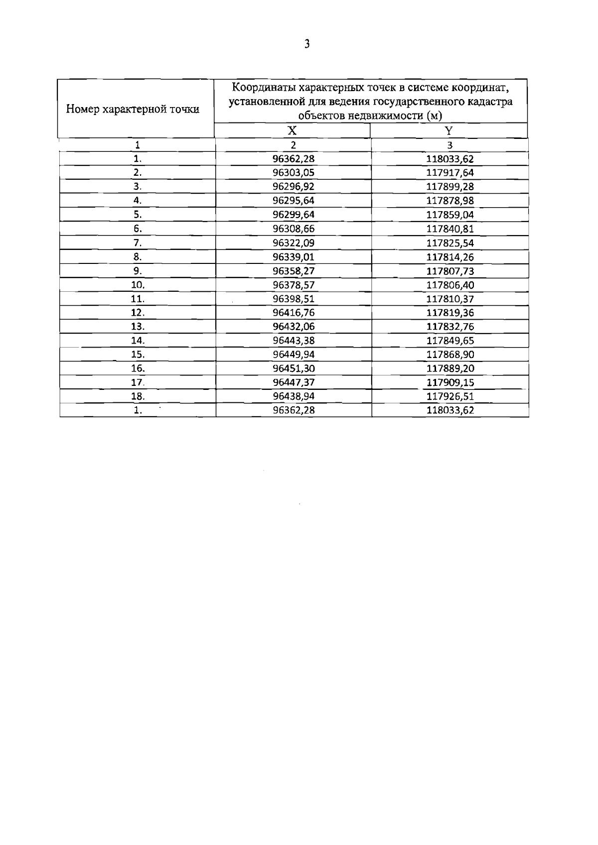
"О включении в перечень выявленных объектов культурного наследия выявленного объекта археологического наследия "Культурный слой XVIII-XIX вв. исторической части Санкт-Петербурга, прилегающей к Смольному монастырю" и об утверждении границ территории выявленного объекта культурного наследия"
(Зарегистрирован 06.04.2026 № 53110)
"О включении в перечень выявленных объектов культурного наследия выявленного объекта археологического наследия "Культурный слой XVIII-XIX вв. исторической части Санкт-Петербурга, прилегающей к Смольному монастырю" и об утверждении границ территории выявленного объекта культурного наследия"
(Зарегистрирован 06.04.2026 № 53110)
Номер опубликования: 7801202604080038
Дата опубликования:
08.04.2026
