Официальное опубликование правовых актов
ОФИЦИАЛЬНОЕ ОПУБЛИКОВАНИЕ
Распоряжение Комитета по государственному контролю, использованию и охране памятников истории и культуры от 06.04.2026 № 69-рп
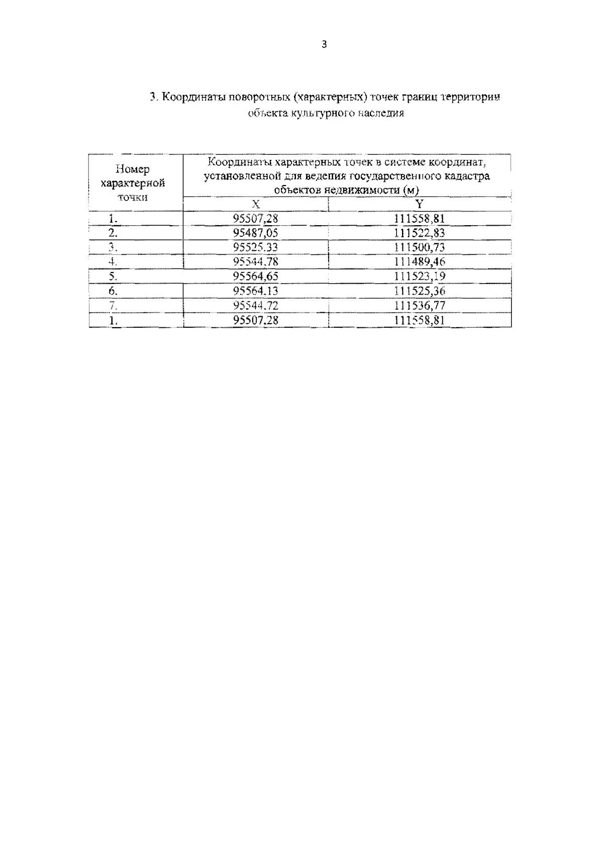
"О включении выявленного объекта культурного наследия в единый государственный реестр объектов культурного наследия (памятников истории и культуры) народов Российской Федерации в качестве объекта культурного наследия регионального значения "Дома Макаровых (С.Н. Бернштейн)", об утверждении границ и режима использования территории объекта, утверждении предмета охраны объекта культурного наследия"
(Зарегистрирован 08.04.2026 № 53136)
Номер опубликования: 7801202604090002
Дата опубликования: 09.04.2026
Страница №5 из 22:
Увеличить