Официальное опубликование правовых актов
ОФИЦИАЛЬНОЕ ОПУБЛИКОВАНИЕ
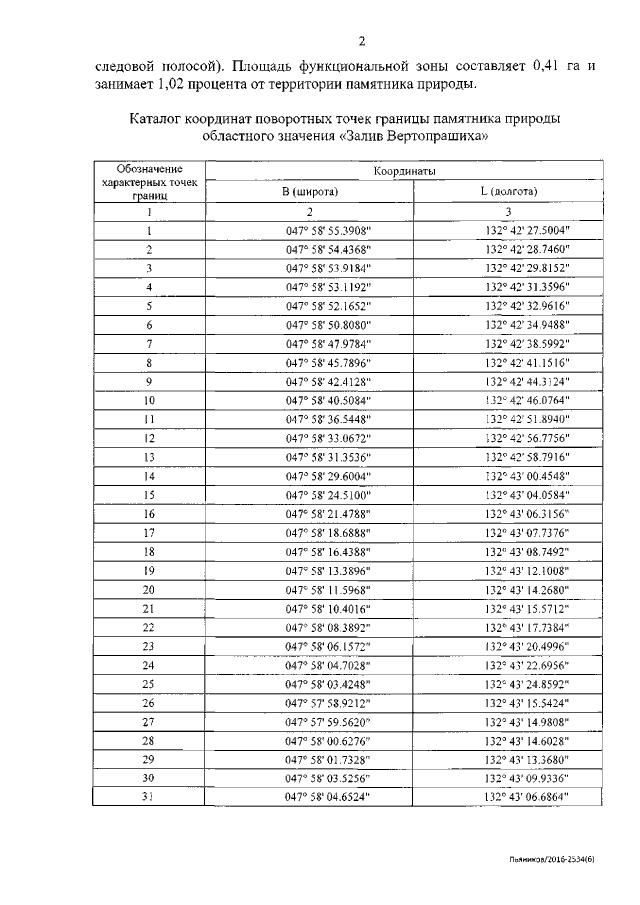
Постановление правительства Еврейской автономной области от 14.02.2017 № 28-пп
"Об утверждении паспортов памятников природы областного значения"
Номер опубликования: 7900201702160004
Дата опубликования: 16.02.2017
Страница №56 из 169:
Увеличить