Официальное опубликование правовых актов
ОФИЦИАЛЬНОЕ ОПУБЛИКОВАНИЕ
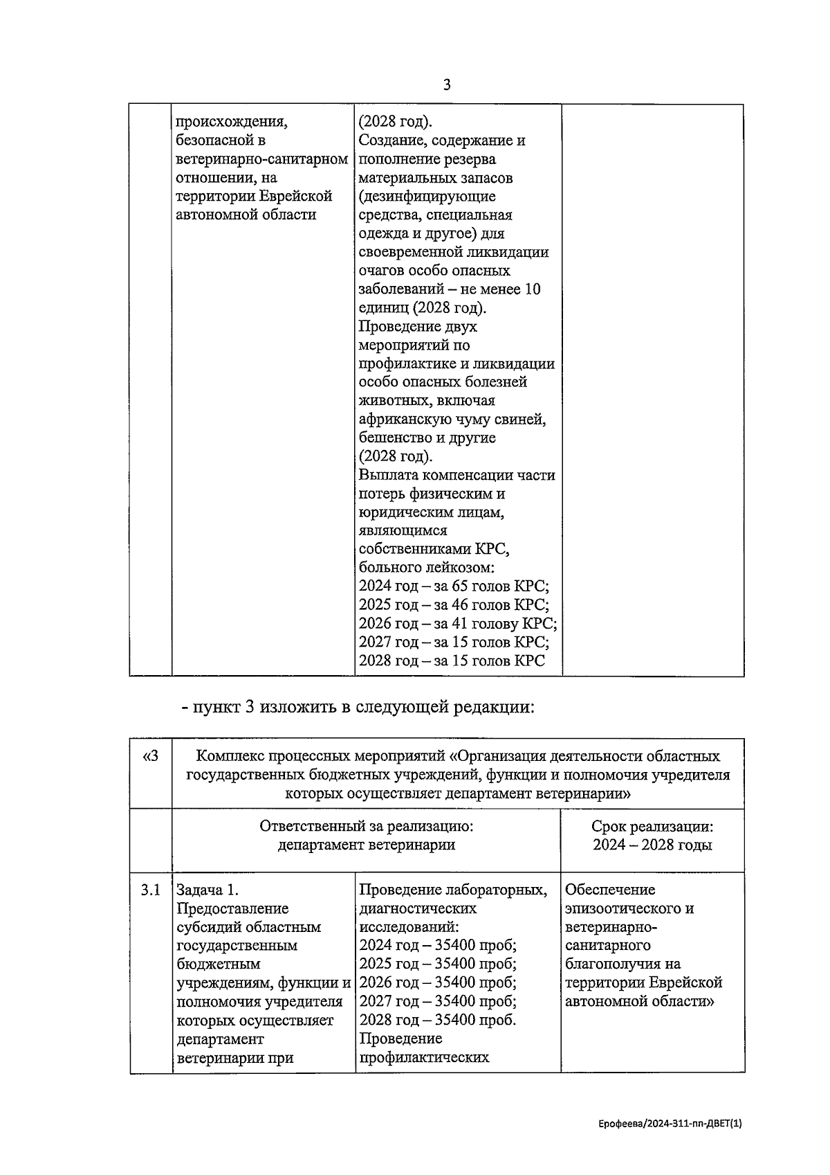
Постановление правительства Еврейской автономной области от 24.10.2024 № 425-пп
"О внесении изменений и дополнений в государственную программу Еврейской автономной области "Профилактика и ликвидация особо опасных болезней животных на территории Еврейской автономной области" на 2024-2028 годы, утвержденную постановлением правительства Еврейской автономной области от 21.12.2023 № 565-пп"
Номер опубликования: 7900202410280012
Дата опубликования: 28.10.2024
Страница №3 из 18:
Увеличить