Официальное опубликование правовых актов
ОФИЦИАЛЬНОЕ ОПУБЛИКОВАНИЕ
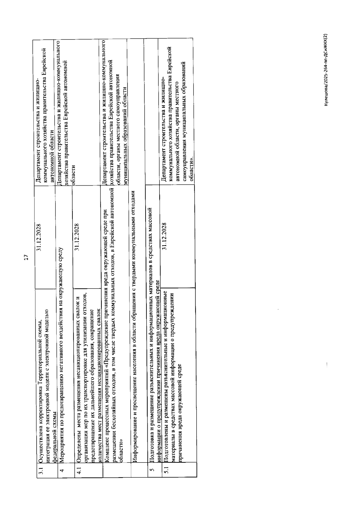
Постановление правительства Еврейской автономной области от 30.05.2025 № 205-пп
"О внесении изменений и дополнения в государственную программу Еврейской автономной области "Обращение с отходами производства и потребления в Еврейской автономной области" на 2024 – 2028 годы, утвержденную постановлением правительства Еврейской автономной области от 07.12.2023 № 506-пп"
Номер опубликования: 7900202506040007
Дата опубликования: 04.06.2025
Страница №17 из 18:
Увеличить