Официальное опубликование правовых актов
ОФИЦИАЛЬНОЕ ОПУБЛИКОВАНИЕ
Постановление правительства Еврейской автономной области от 03.07.2025 № 276-пп
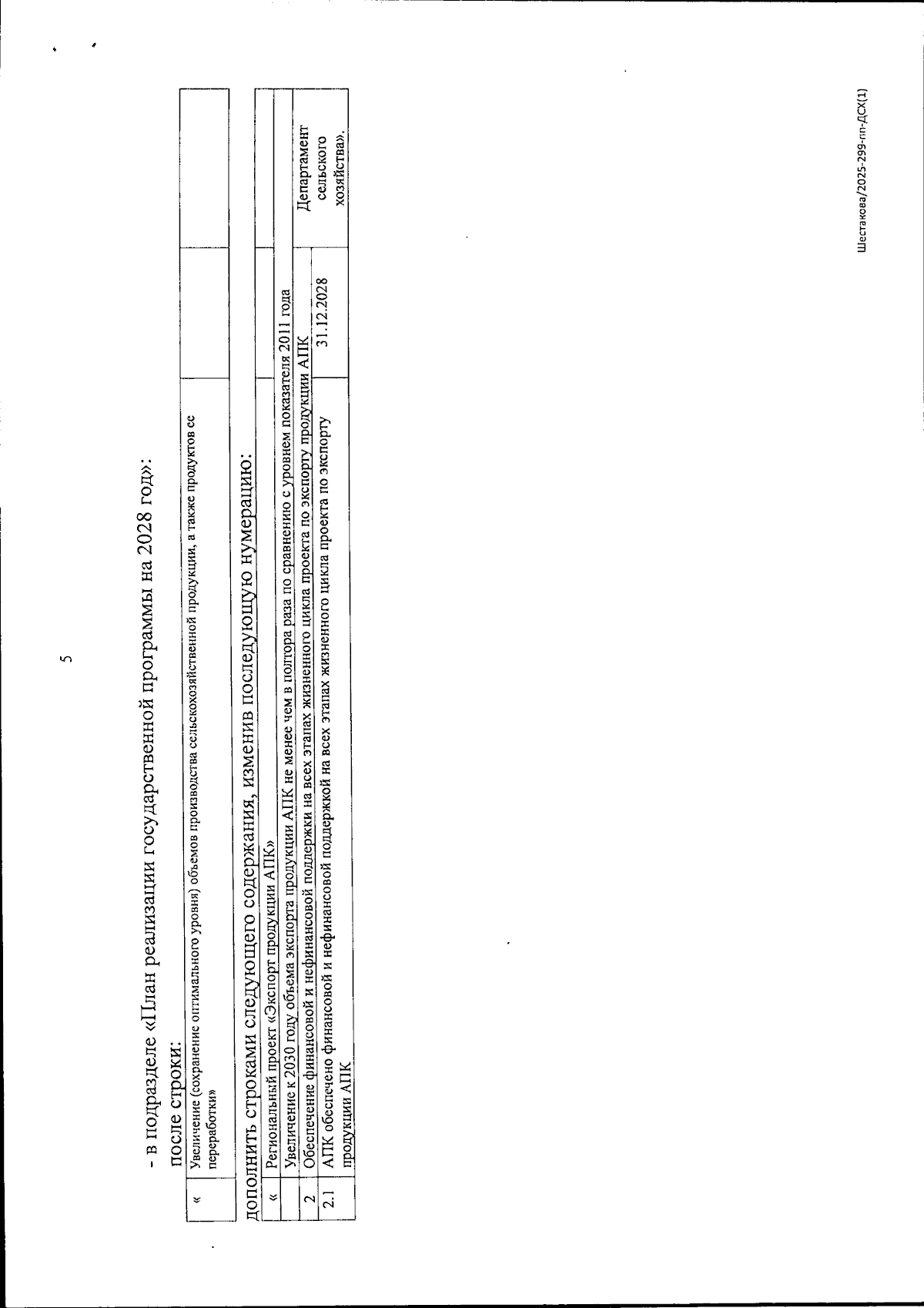
"О внесении изменений и дополнений в государственную программу Еврейской автономной области "Развитие сельского хозяйства и регулирование рынков сельскохозяйственной продукции, сырья, продовольствия в Еврейской автономной области" на 2024 – 2028 годы", утвержденную постановлением правительства Еврейской автономной области от 26.12.2023 № 596-пп"
Номер опубликования: 7900202507070014
Дата опубликования: 07.07.2025
Страница №5 из 8:
Увеличить