Официальное опубликование правовых актов
ОФИЦИАЛЬНОЕ ОПУБЛИКОВАНИЕ
Постановление правительства Еврейской автономной области от 26.09.2025 № 397-пп
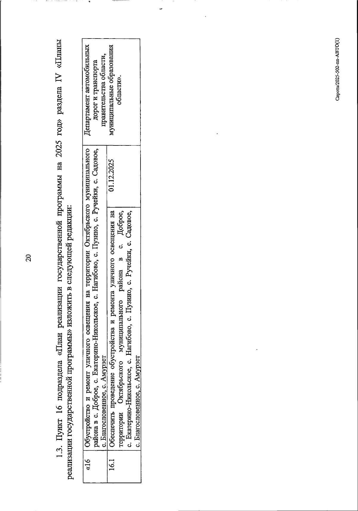
"О внесении изменений в государственную программу Еврейской автономной области "Развитие сети автомобильных дорог Еврейской автономной области" на 2024 – 2028 годы, утвержденную постановлением правительства Еврейской автономной области от 26.12.2023 № 612-пп"
Номер опубликования: 7900202509290005
Дата опубликования: 29.09.2025
Страница №20 из 21:
Увеличить