Официальное опубликование правовых актов
ОФИЦИАЛЬНОЕ ОПУБЛИКОВАНИЕ
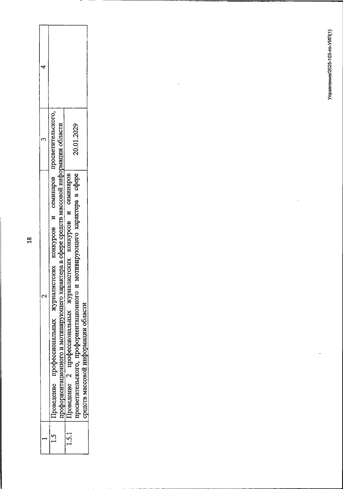
Постановление правительства Еврейской автономной области от 26.09.2025 № 400-пп
"О внесении изменений в государственную программу Еврейской автономной области "Поддержка и развитие средств массовой информации на территории Еврейской автономной области" на 2024 – 2028 годы, утвержденную постановлением правительства Еврейской автономной области от 21.12.2023 № 573-пп"
Номер опубликования: 7900202510010004
Дата опубликования: 01.10.2025
Страница №18 из 19:
Увеличить