Официальное опубликование правовых актов
ОФИЦИАЛЬНОЕ ОПУБЛИКОВАНИЕ
Постановление правительства Еврейской автономной области от 20.11.2025 № 486-пп
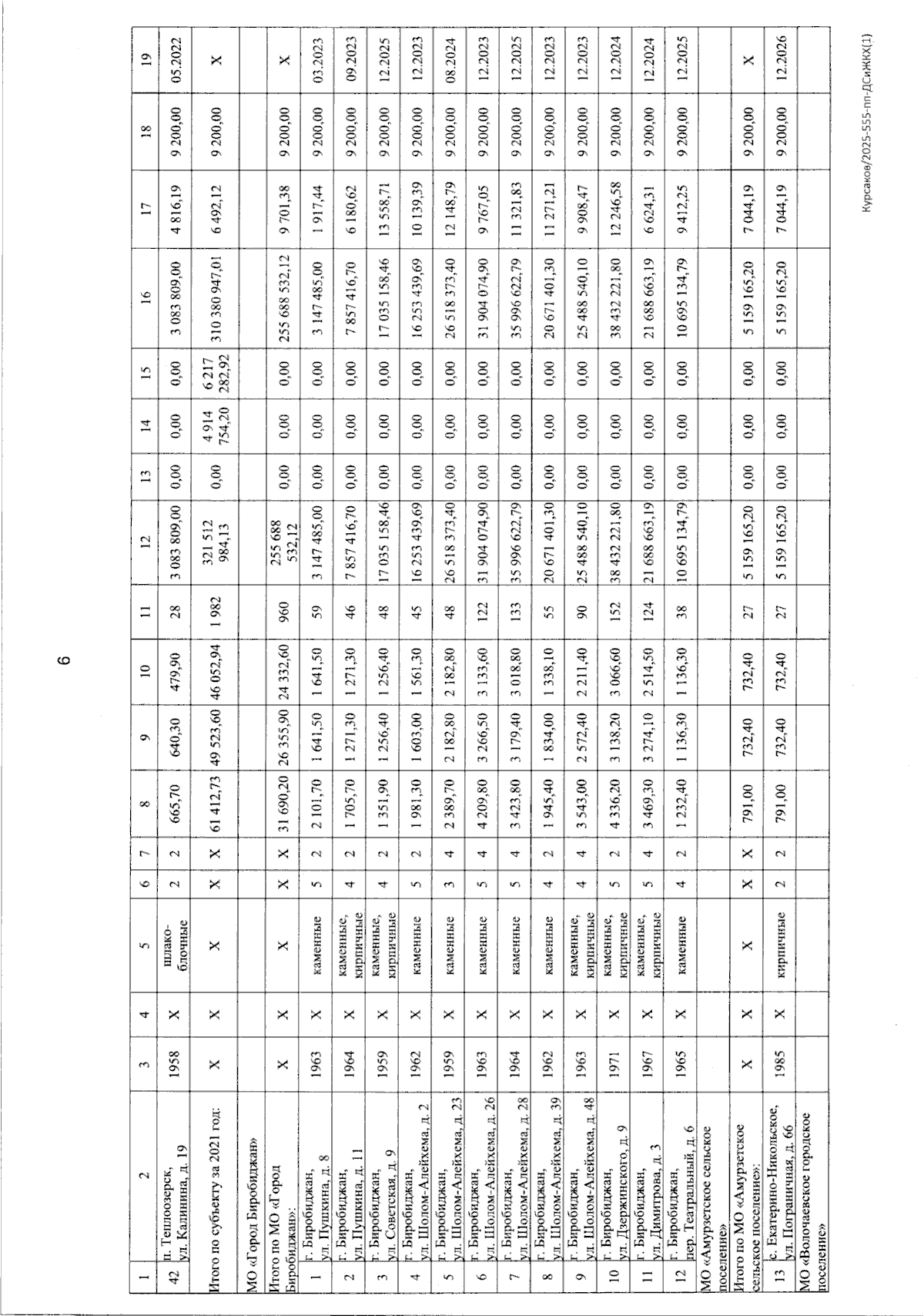
"О внесении изменения в краткосрочный план реализации региональной программы по проведению капитального ремонта общего имущества многоквартирных домов, расположенных на территории Еврейской автономной области, на 2020 – 2022 годы, утвержденный постановлением правительства Еврейской автономной области от 13.09.2019 № 286-пп"
Номер опубликования: 7900202511260004
Дата опубликования: 26.11.2025
Страница №7 из 24:
Увеличить