Официальное опубликование правовых актов
ОФИЦИАЛЬНОЕ ОПУБЛИКОВАНИЕ
Постановление правительства Еврейской автономной области от 10.02.2026 № 43-пп
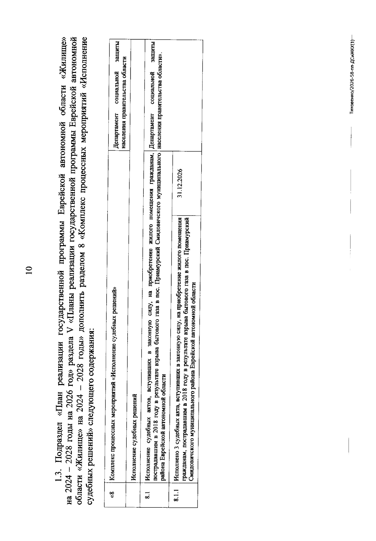
"О внесении изменений и дополнения в государственную программу Еврейской автономной области "Жилище" на 2024 – 2028 годы, утвержденную постановлением правительства Еврейской автономной области от 07.12.2023 № 494-пп"
Номер опубликования: 7900202602130003
Дата опубликования: 13.02.2026
Страница №10 из 11:
Увеличить