Официальное опубликование правовых актов
ОФИЦИАЛЬНОЕ ОПУБЛИКОВАНИЕ
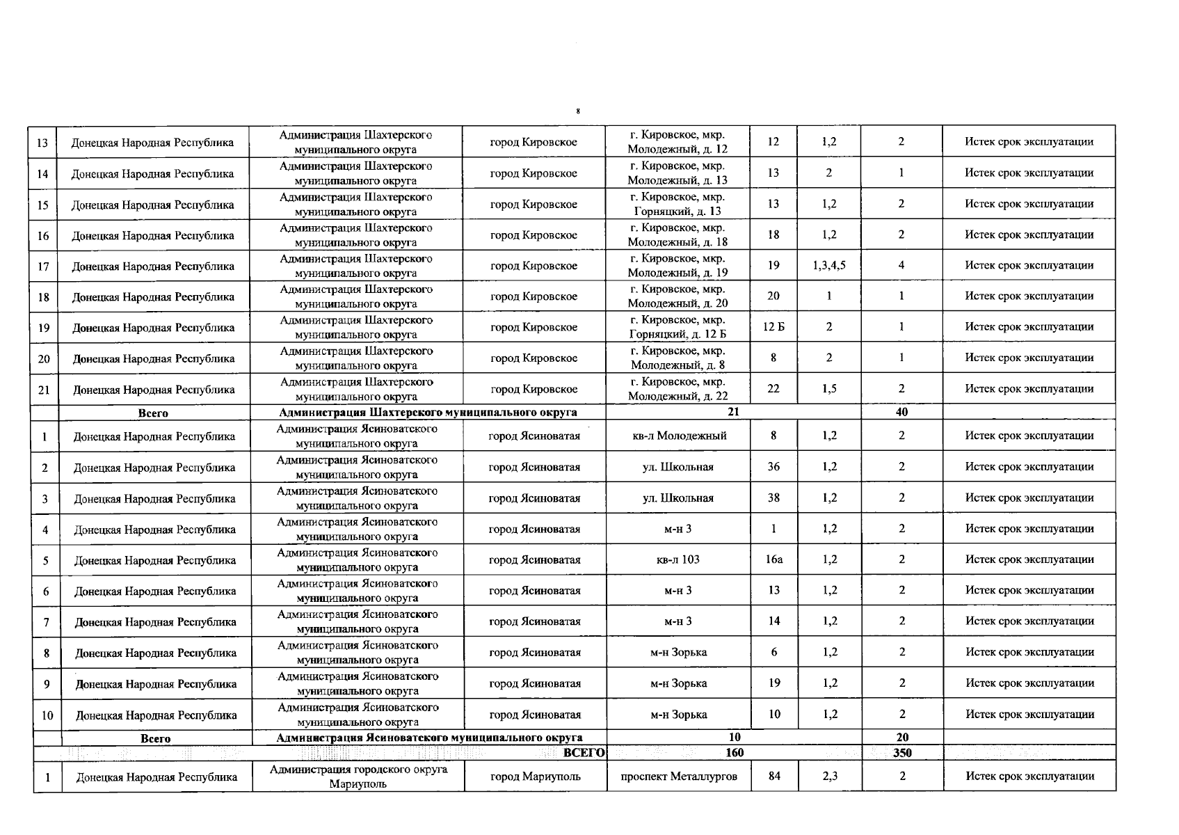
Постановление Правительства Донецкой Народной Республики от 09.09.2024 № 94-1
"О внесении изменений в Программу "Замена лифтов в Донецкой Народной Республике", утвержденную постановлением Правительства Донецкой Народной Республики от 19 октября 2023 г. № 88-6"
Номер опубликования: 8000202409160008
Дата опубликования: 16.09.2024
Страница №29 из 30:
Увеличить