Постановление Правительства Донецкой Народной Республики от 08.10.2024 № 103-3
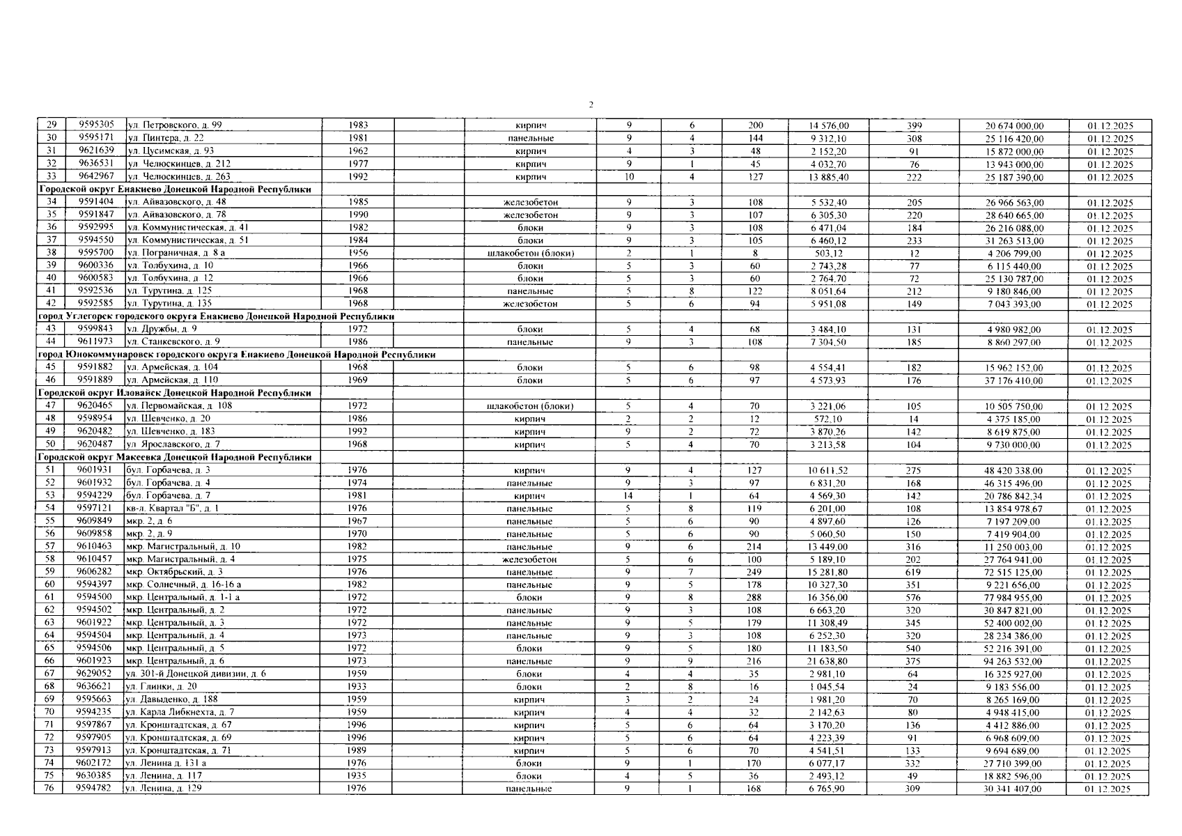
"Об утверждении региональной адресной программы капитального ремонта общего имущества в многоквартирных домах на территории Донецкой Народной Республики в 2024-2026 годах"
"Об утверждении региональной адресной программы капитального ремонта общего имущества в многоквартирных домах на территории Донецкой Народной Республики в 2024-2026 годах"
Номер опубликования: 8000202410110001
Дата опубликования:
11.10.2024
