Официальное опубликование правовых актов
ОФИЦИАЛЬНОЕ ОПУБЛИКОВАНИЕ
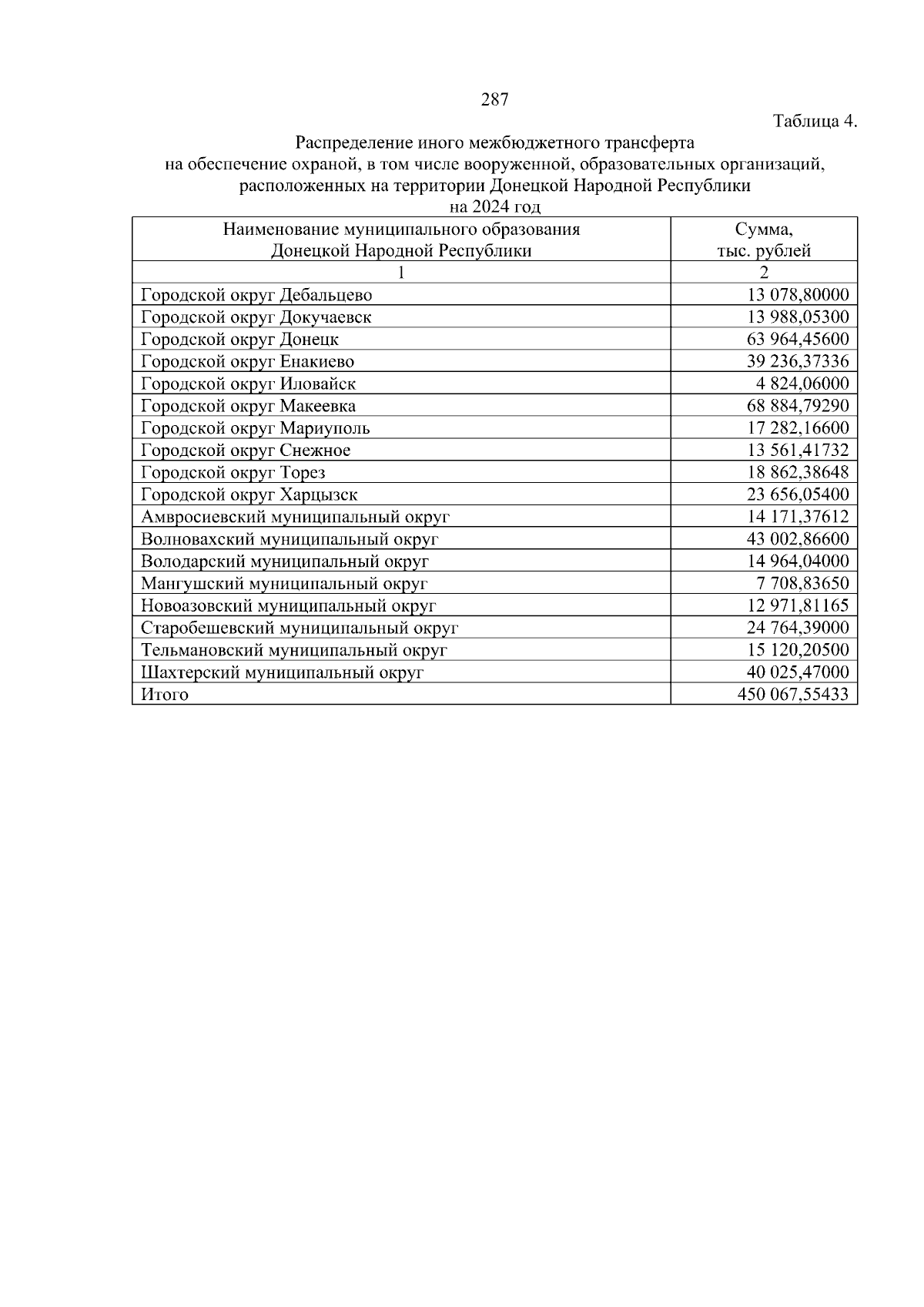
Закон Донецкой Народной Республики от 27.11.2024 № 131-РЗ
"О внесении изменений в Закон Донецкой Народной Республики "О бюджете Донецкой Народной Республики на 2024 год"
Номер опубликования: 8000202411280001
Дата опубликования: 28.11.2024
Страница №287 из 311:
Увеличить