Официальное опубликование правовых актов
ОФИЦИАЛЬНОЕ ОПУБЛИКОВАНИЕ
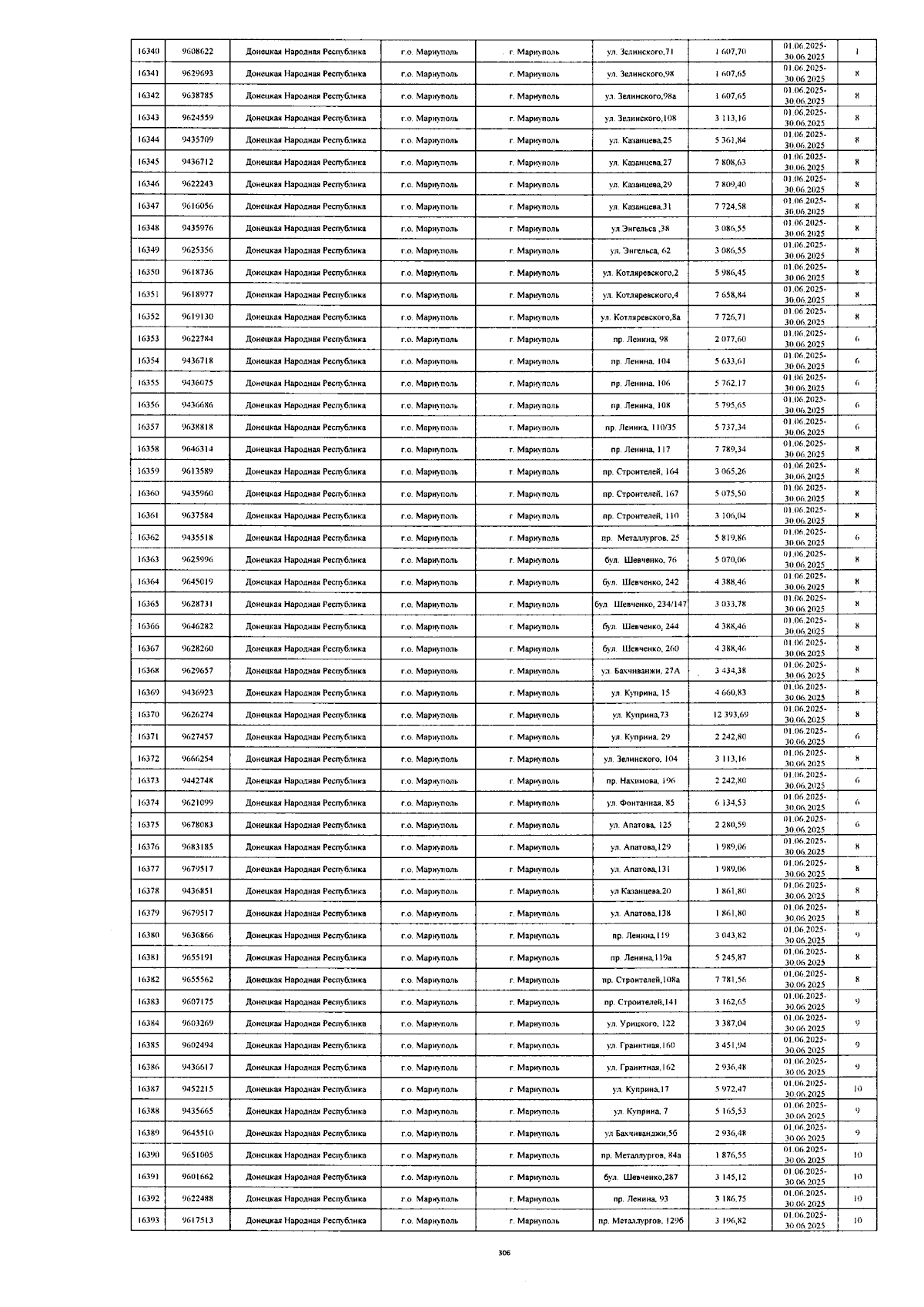
Постановление Правительства Донецкой Народной Республики от 31.01.2025 № 10-2
"Об утверждении плана-графика перевода многоквартирных домов, включенных в перечень многоквартирных домов, переводимых под управление ЕДИНОГО РЕГИОНАЛЬНОГО ФОНДА ПО УПРАВЛЕНИЮ МНОГОКВАРТИРНЫМИ ДОМАМИ НА ТЕРРИТОРИИ ДОНЕЦКОЙ НАРОДНОЙ РЕСПУБЛИКИ"
Номер опубликования: 8000202502040007
Дата опубликования: 04.02.2025
Страница №308 из 499:
Увеличить