Постановление Правительства Донецкой Народной Республики от 31.01.2025 № 10-2
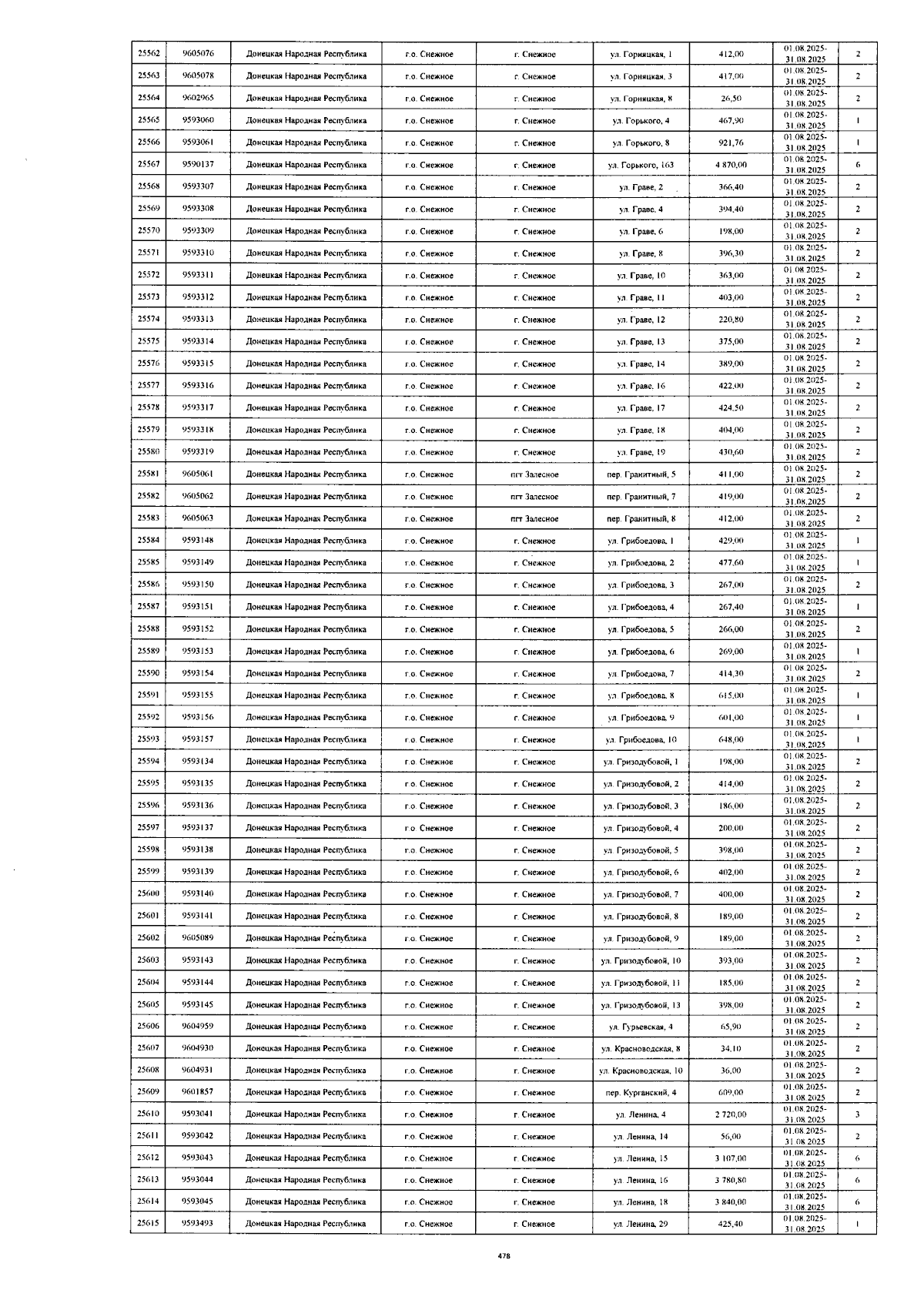
"Об утверждении плана-графика перевода многоквартирных домов, включенных в перечень многоквартирных домов, переводимых под управление ЕДИНОГО РЕГИОНАЛЬНОГО ФОНДА ПО УПРАВЛЕНИЮ МНОГОКВАРТИРНЫМИ ДОМАМИ НА ТЕРРИТОРИИ ДОНЕЦКОЙ НАРОДНОЙ РЕСПУБЛИКИ"
"Об утверждении плана-графика перевода многоквартирных домов, включенных в перечень многоквартирных домов, переводимых под управление ЕДИНОГО РЕГИОНАЛЬНОГО ФОНДА ПО УПРАВЛЕНИЮ МНОГОКВАРТИРНЫМИ ДОМАМИ НА ТЕРРИТОРИИ ДОНЕЦКОЙ НАРОДНОЙ РЕСПУБЛИКИ"
Номер опубликования: 8000202502040007
Дата опубликования:
04.02.2025
