Официальное опубликование правовых актов
ОФИЦИАЛЬНОЕ ОПУБЛИКОВАНИЕ
Постановление Правительства Донецкой Народной Республики от 14.04.2025 № 38-1
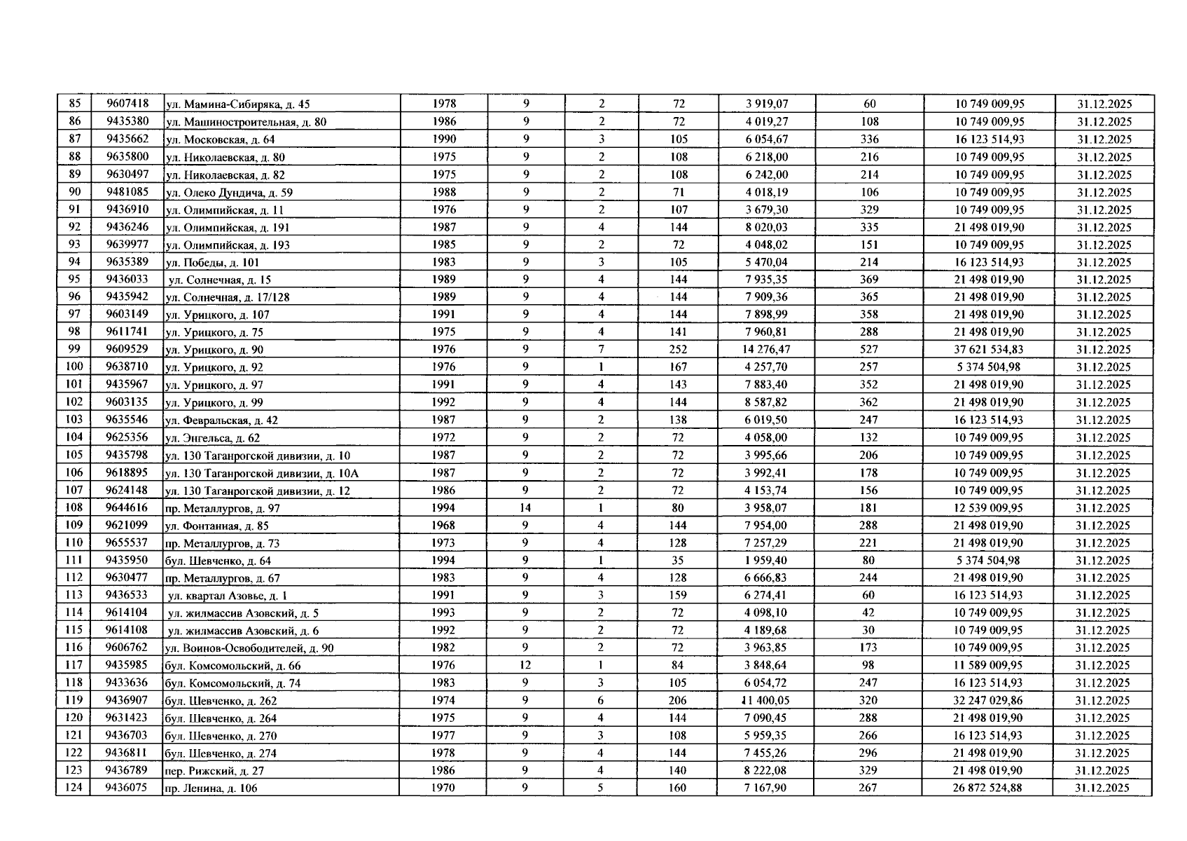
"О внесении изменений в постановление Правительства Донецкой Народной Республики от 8 октября 2024 г. № 103-3 "Об утверждении региональной адресной программы капитального ремонта общего имущества в многоквартирных домах на территории Донецкой Народной Республики в 2024-2026 годах"
Номер опубликования: 8000202504160001
Дата опубликования: 16.04.2025
Страница №24 из 41:
Увеличить