Официальное опубликование правовых актов
ОФИЦИАЛЬНОЕ ОПУБЛИКОВАНИЕ
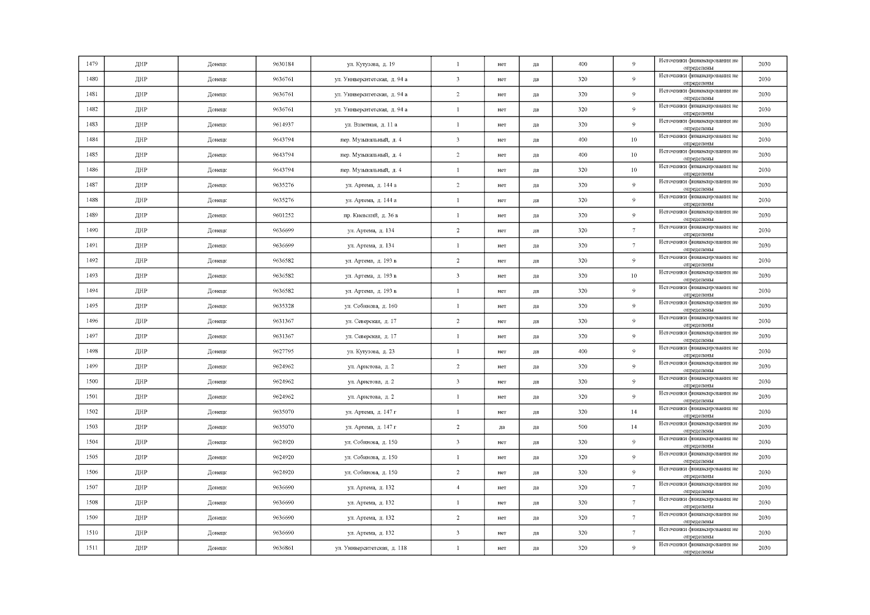
Постановление Правительства Донецкой Народной Республики от 08.10.2025 № 100-1
"О внесении изменений в Программу "Замена лифтов в Донецкой Народной Республике", утвержденную постановлением Правительства Донецкой Народной Республики от 19 октября 2023 г. № 88-6"
Номер опубликования: 8000202510130008
Дата опубликования: 13.10.2025
Страница №317 из 392:
Увеличить