Постановление Правительства Донецкой Народной Республики от 23.10.2025 № 105-11
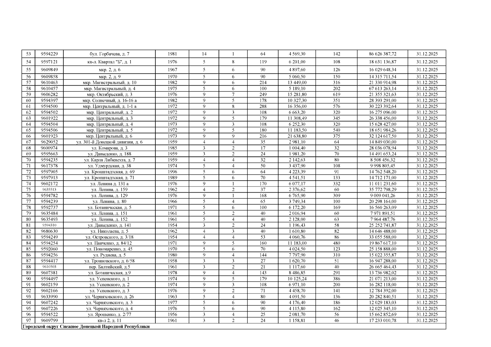
"О внесении изменений в постановление Правительства Донецкой Народной Республики от 8 октября 2024 г. № 103-3 "Об утверждении региональной адресной программы капитального ремонта общего имущества в многоквартирных домах на территории Донецкой Народной Республики в 2024-2026 годах"
"О внесении изменений в постановление Правительства Донецкой Народной Республики от 8 октября 2024 г. № 103-3 "Об утверждении региональной адресной программы капитального ремонта общего имущества в многоквартирных домах на территории Донецкой Народной Республики в 2024-2026 годах"
Номер опубликования: 8000202510290001
Дата опубликования:
29.10.2025
