Официальное опубликование правовых актов
ОФИЦИАЛЬНОЕ ОПУБЛИКОВАНИЕ
Постановление Правительства Донецкой Народной Республики от 06.03.2026 № 16-6
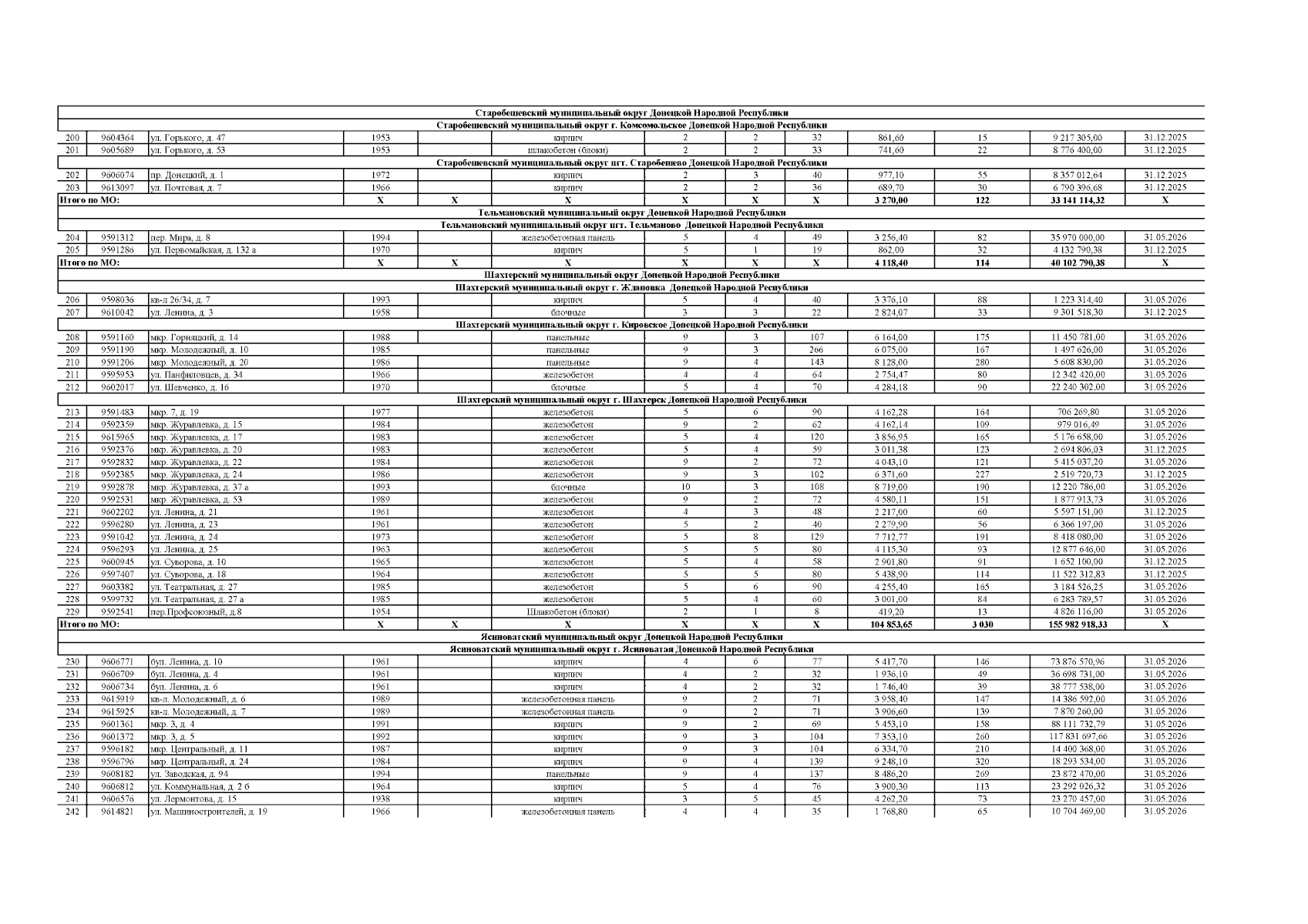
"О внесении изменений в постановление Правительства Донецкой Народной Республики от 8 октября 2024 г. № 103-3 "Об утверждении региональной адресной программы капитального ремонта общего имущества в многоквартирных домах на территории Донецкой Народной Республики в 2024-2026 годах"
Номер опубликования: 8000202603100005
Дата опубликования: 10.03.2026
Страница №9 из 59:
Увеличить