Официальное опубликование правовых актов
ОФИЦИАЛЬНОЕ ОПУБЛИКОВАНИЕ
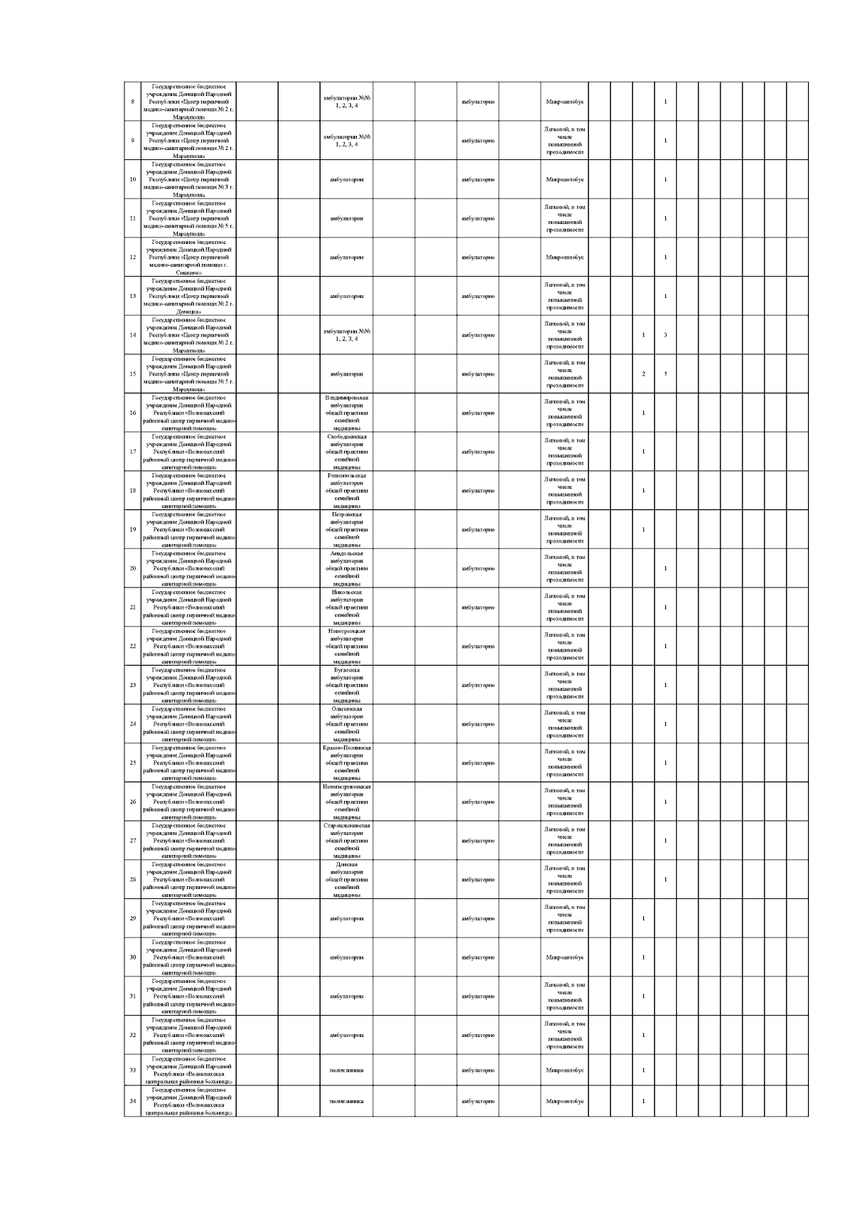
Постановление Правительства Донецкой Народной Республики от 19.03.2026 № 20-7
"О внесении изменений в региональную программу модернизации первичного звена здравоохранения Донецкой Народной Республики, утвержденную постановлением Правительства Донецкой Народной Республики от 3 октября 2023 г. № 84-2"
Номер опубликования: 8000202603240001
Дата опубликования: 24.03.2026
Страница №314 из 378:
Увеличить