Официальное опубликование правовых актов
ОФИЦИАЛЬНОЕ ОПУБЛИКОВАНИЕ
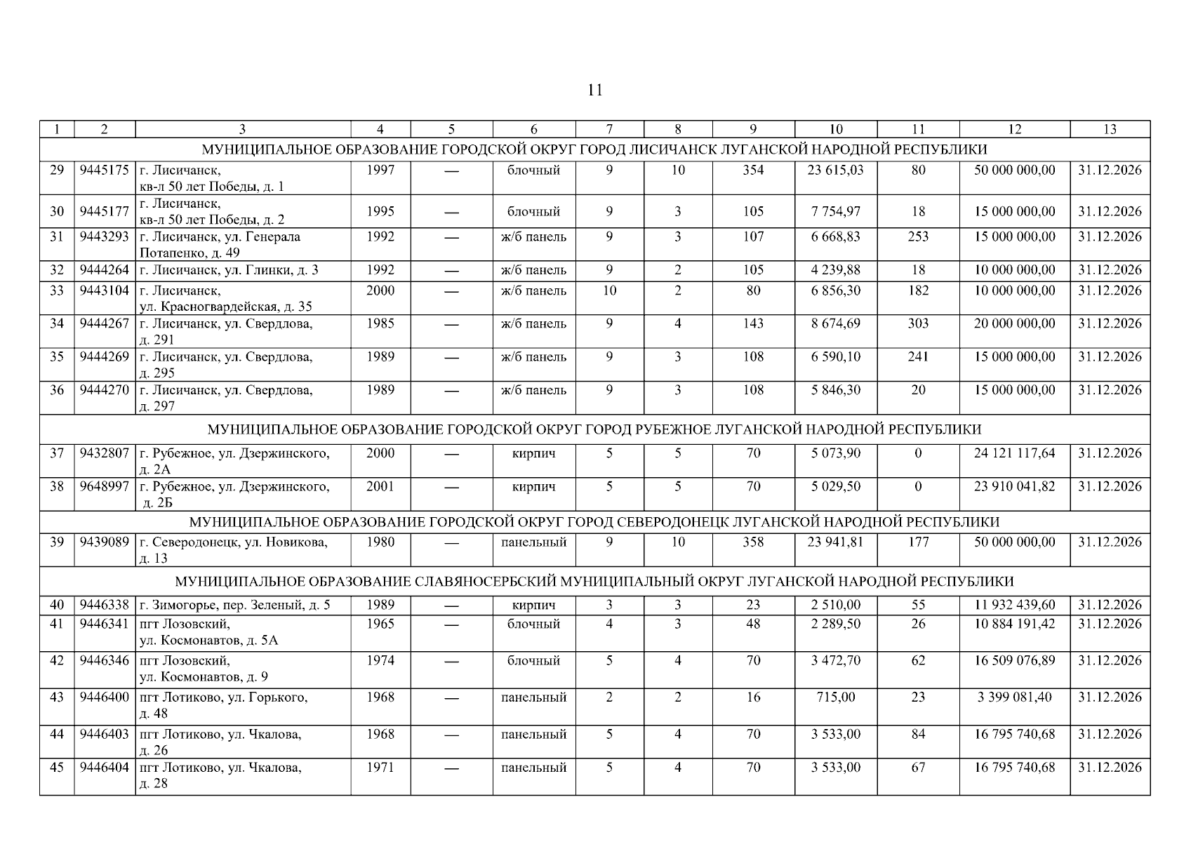
Постановление Правительства Луганской Народной Республики от 05.12.2024 № 255/24
"О внесении изменения в региональную адресную программу капитального ремонта общего имущества в многоквартирных домах на территории Луганской Народной Республики на 2024–2026 годы, утвержденную постановлением Правительства Луганской Народной Республики от 01.10.2024 № 208/24"
Номер опубликования: 8100202412060003
Дата опубликования: 06.12.2024
Страница №19 из 32:
Увеличить