Официальное опубликование правовых актов
ОФИЦИАЛЬНОЕ ОПУБЛИКОВАНИЕ
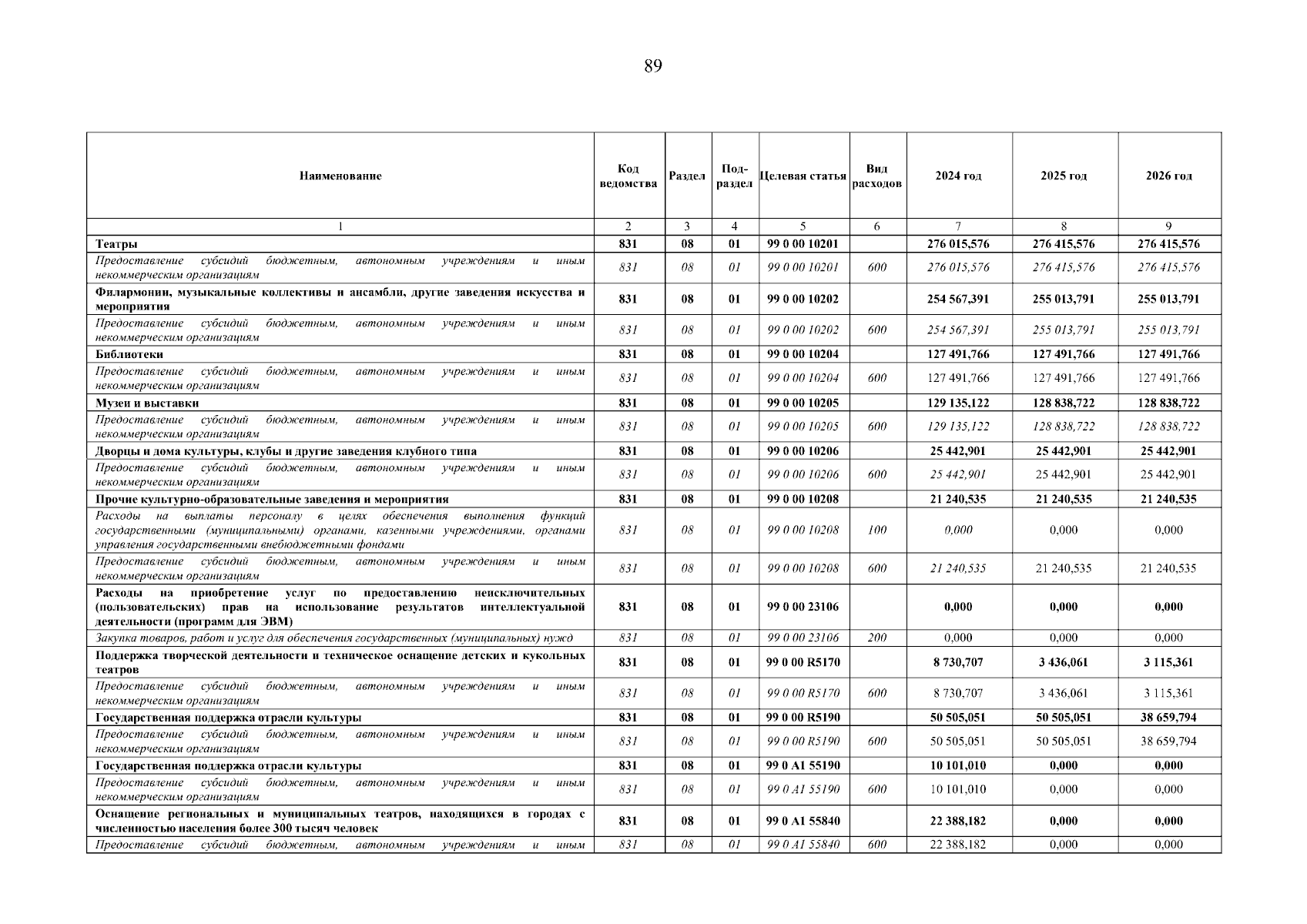
Закон Луганской Народной Республики от 26.12.2024 № 123-I
"О внесении изменений в Закон Луганской Народной Республики "О бюджете Луганской Народной Республики на 2024 год и на плановый период 2025 и 2026 годов"
Номер опубликования: 8100202412270004
Дата опубликования: 27.12.2024
Страница №89 из 107:
Увеличить