Официальное опубликование правовых актов
ОФИЦИАЛЬНОЕ ОПУБЛИКОВАНИЕ
Постановление Правительства Луганской Народной Республики от 07.10.2025 № 201/25
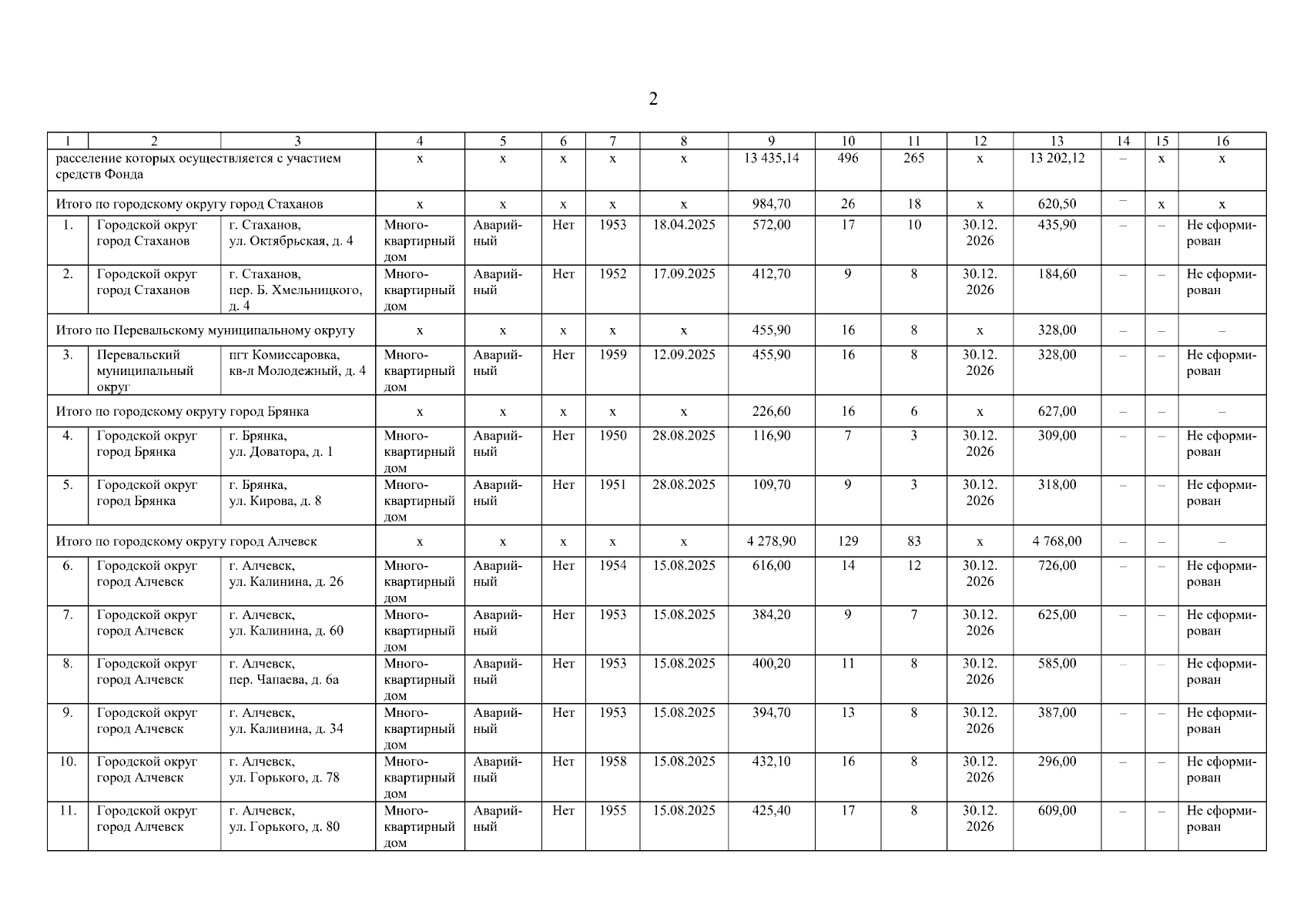
"Об утверждении региональной адресной программы Луганской Народной Республики "Переселение граждан из аварийного жилищного фонда в 2025–2030 годах"
Номер опубликования: 8100202510080004
Дата опубликования: 08.10.2025
Страница №25 из 36:
Увеличить