Официальное опубликование правовых актов
ОФИЦИАЛЬНОЕ ОПУБЛИКОВАНИЕ
Постановление Правительства Луганской Народной Республики от 07.10.2025 № 202/25
"О некоторых вопросах, связанных с управлением и распоряжением имуществом Луганской Народной Республики"
Номер опубликования: 8100202510090001
Дата опубликования: 09.10.2025
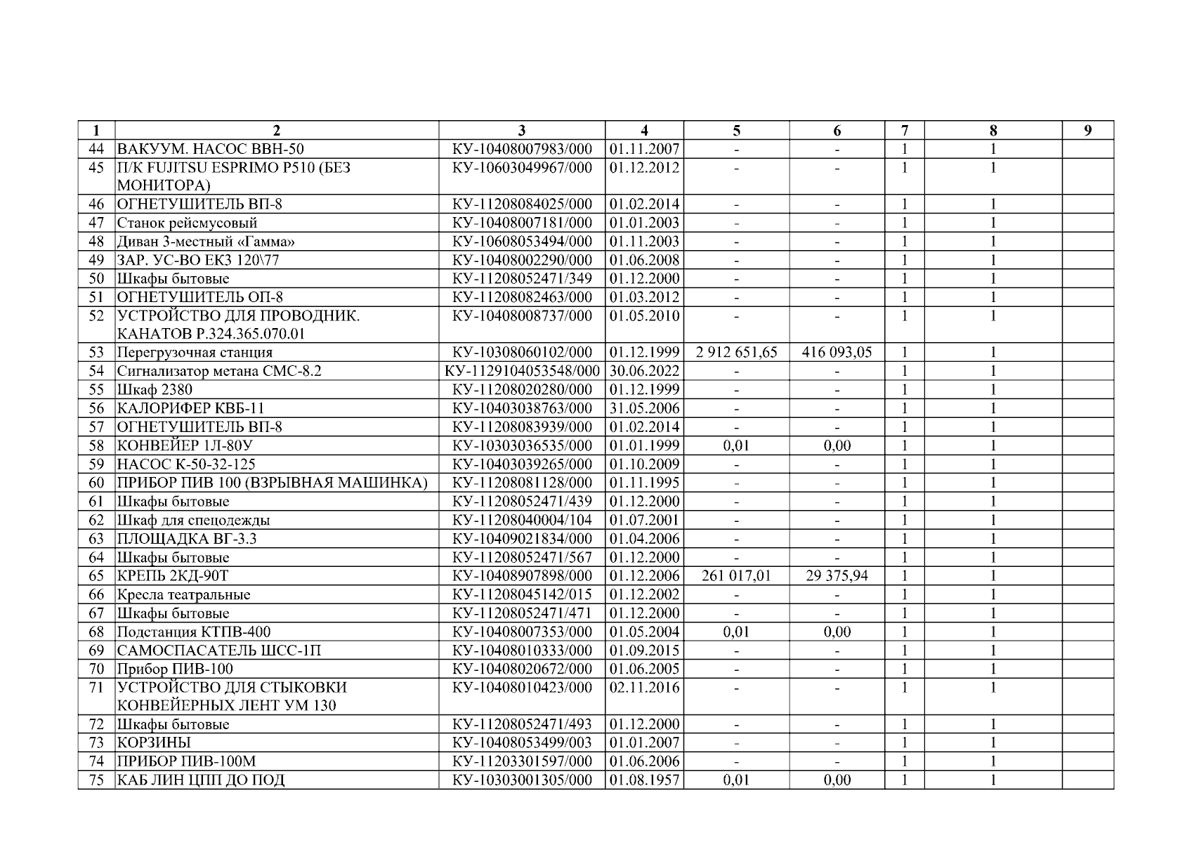
Страница №7 из 5221:
Увеличить