Официальное опубликование правовых актов
ОФИЦИАЛЬНОЕ ОПУБЛИКОВАНИЕ
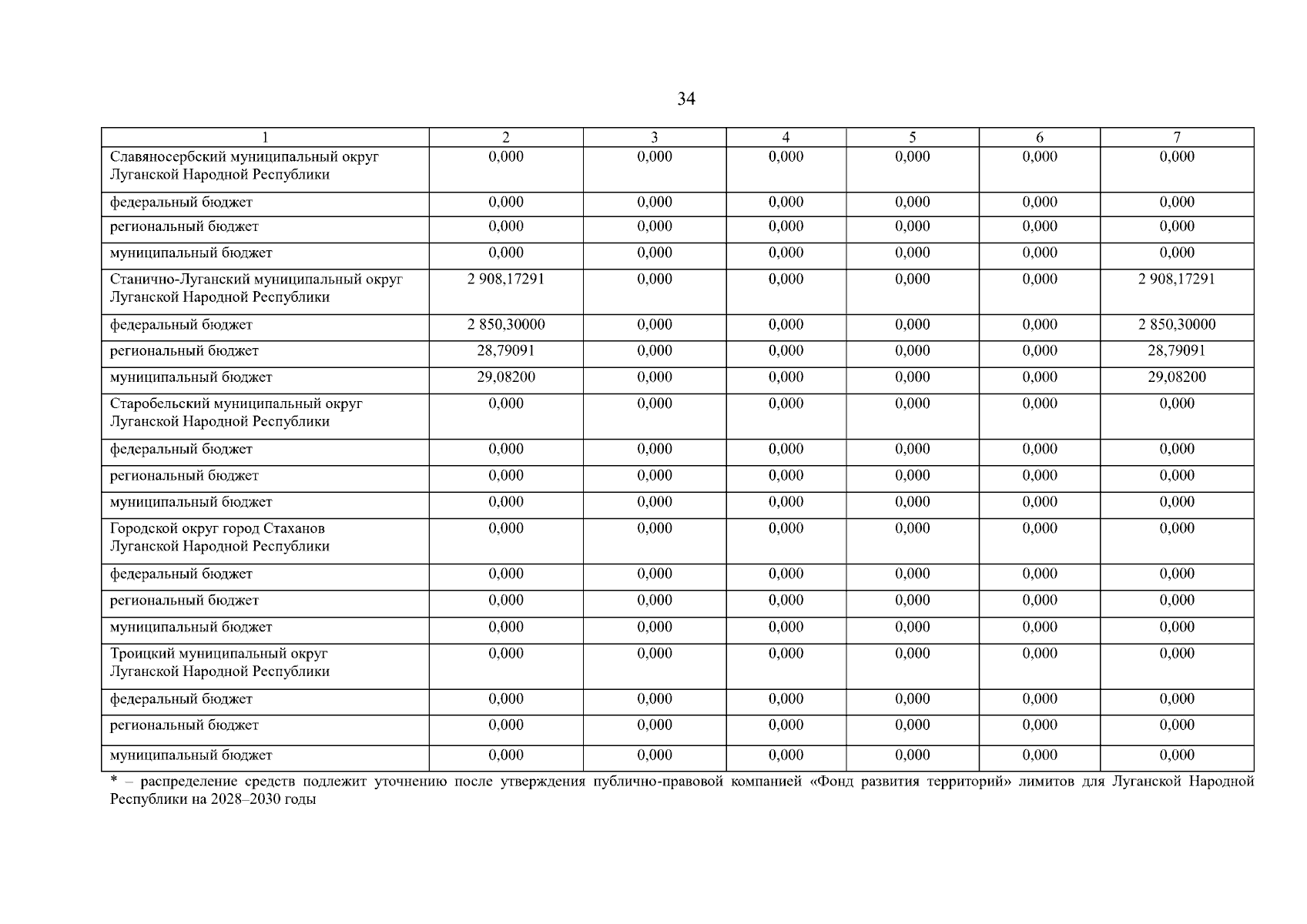
Постановление Правительства Луганской Народной Республики от 14.10.2025 № 217/25
"Об утверждении государственной программы Луганской Народной Республики "Обеспечение доступным и комфортным жильем жителей Луганской Народной Республики"
Номер опубликования: 8100202510200001
Дата опубликования: 20.10.2025
Страница №35 из 83:
Увеличить