Официальное опубликование правовых актов
ОФИЦИАЛЬНОЕ ОПУБЛИКОВАНИЕ
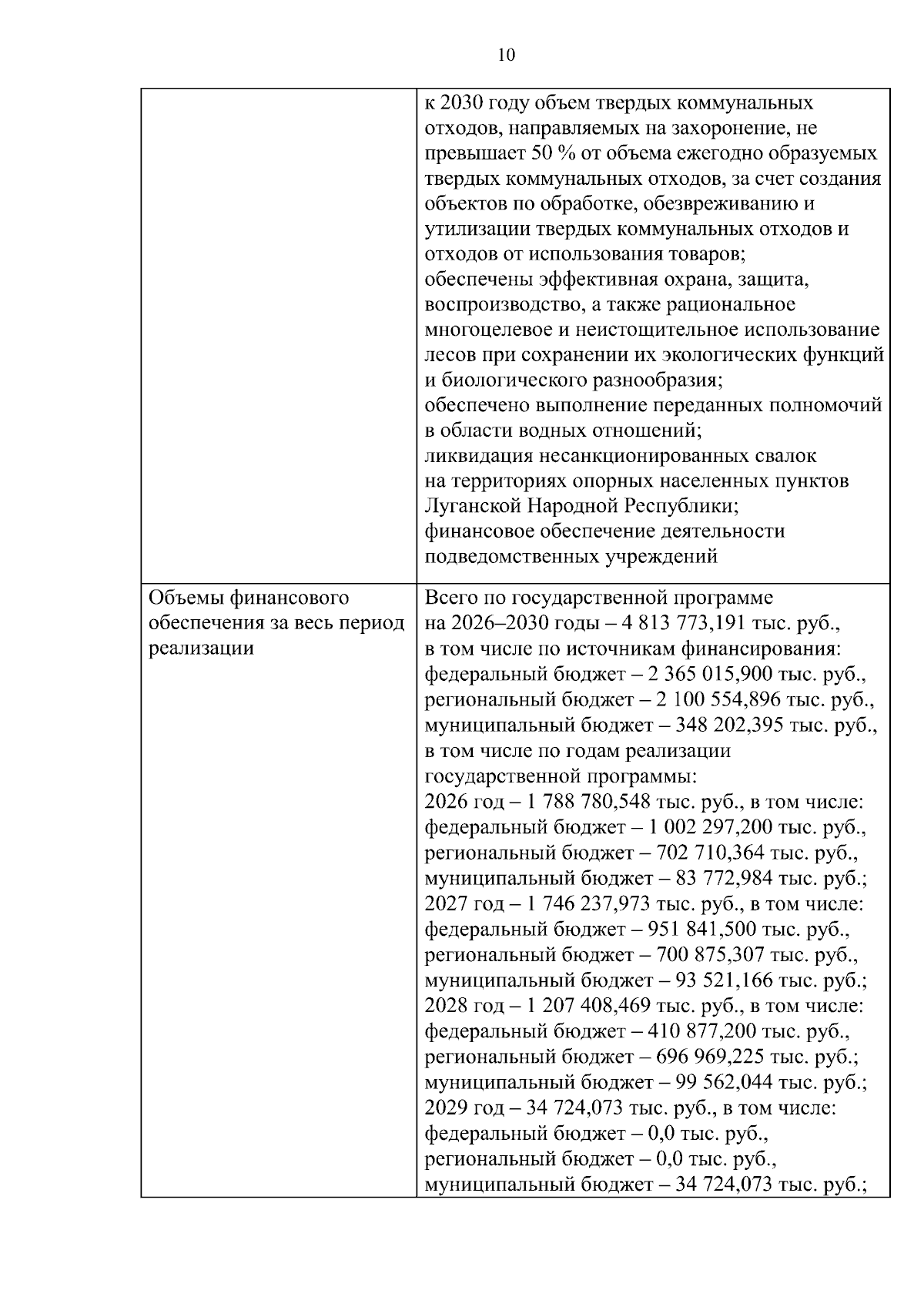
Постановление Правительства Луганской Народной Республики от 15.10.2025 № 221/25
"Об утверждении государственной программы Луганской Народной Республики "Охрана окружающей среды и экология Луганской Народной Республики"
Номер опубликования: 8100202510230009
Дата опубликования: 23.10.2025
Страница №11 из 81:
Увеличить