Официальное опубликование правовых актов
ОФИЦИАЛЬНОЕ ОПУБЛИКОВАНИЕ
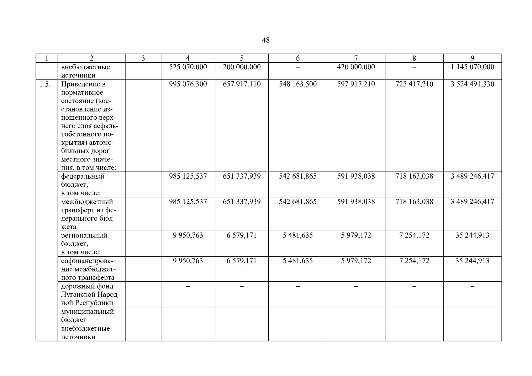
Постановление Правительства Луганской Народной Республики от 15.10.2025 № 220/25
"Об утверждении государственной программы Луганской Народной Республики "Развитие транспортной системы"
Номер опубликования: 8100202510230010
Дата опубликования: 23.10.2025
Страница №49 из 110:
Увеличить