Официальное опубликование правовых актов
ОФИЦИАЛЬНОЕ ОПУБЛИКОВАНИЕ
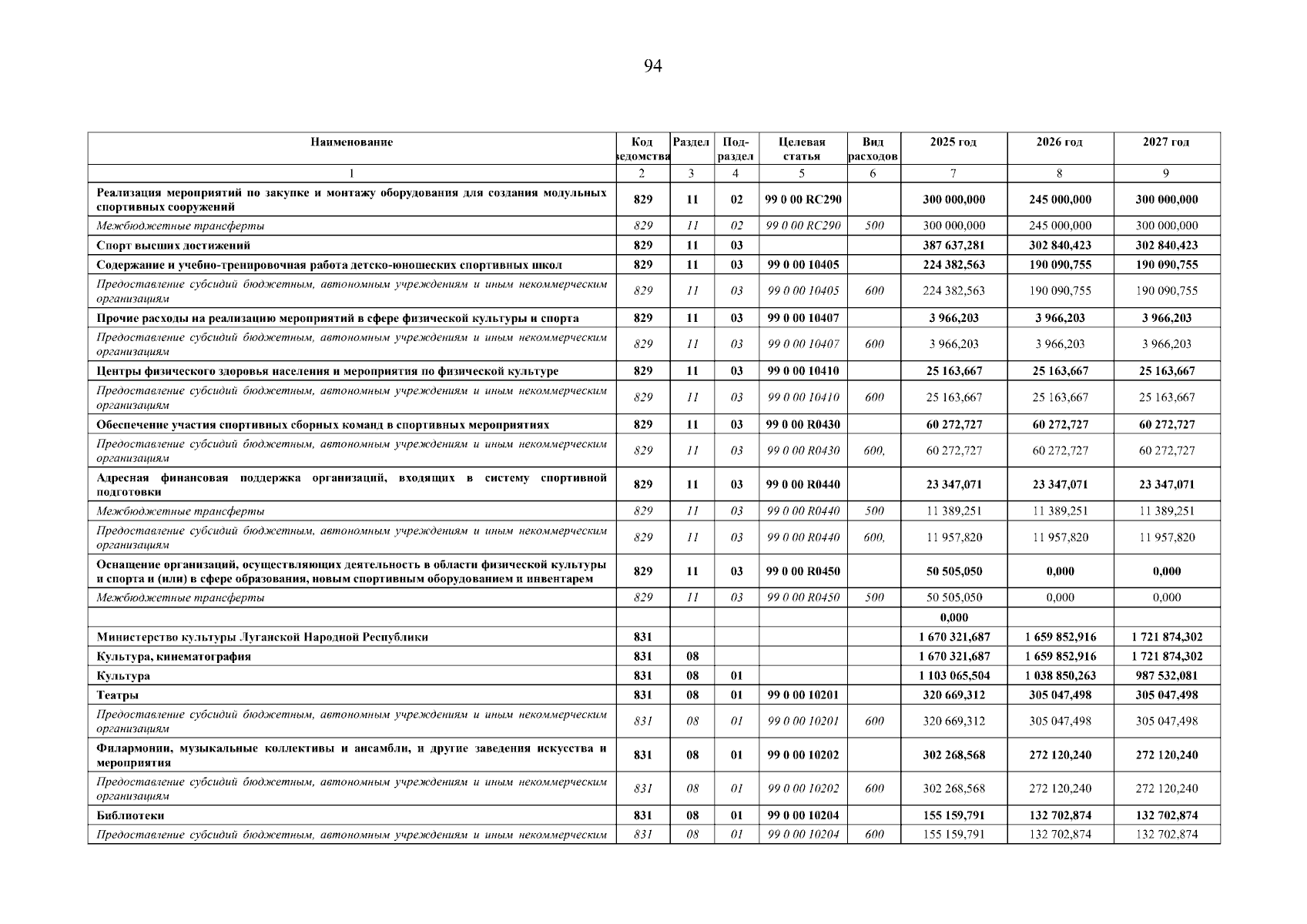
Закон Луганской Народной Республики от 04.12.2025 № 218-I
"О внесении изменений в Закон Луганской Народной Республики "О бюджете Луганской Народной Республики на 2025 год и на плановый период 2026 и 2027 годов"
Номер опубликования: 8100202512050004
Дата опубликования: 05.12.2025
Страница №94 из 116:
Увеличить